ardiorespiratory fitness refers to the ability of the circulatory and respiratory systems to supply oxygen to skeletal muscles during sustained physical activity and eliminate fatigue products after supplying the oxygen. Cardiorespiratory fitness is commonly described in terms of the parameters ventilatory anaerobic threshold (VAT) and maximal oxygen uptake (VO 2max ). VAT defines a transition between aerobic and anaerobic metabolism and is closely linked to regular exercise training. VAT is therefore used as an additional parameter to assess cardiorespiratory fitness 1 . VO 2max is the highest rate of Although VO 2max is not the sole determinant of cardiorespiratory fitness, it is recognized as the gold standard measurement for cardiorespiratory fitness of an individual 4 . Important information about gas exchange responses that can explain heart, lung, peripheral vascular, pulmonary vascular, and muscle abnormalities in individuals can be obtained from VO 2max measurements 5 .Maximal oxygen uptake can be used to design an exercise prescription for aerobic training in individuals; identify and refer patients with subtle abnormalities of gas exchange for further diagnostic studies to exclude early infectious complications; and evaluate physiological improvements resulting from an aerobic exercise training program. Thus, VO 2max quantifies an individual's exercise capacity and provides valuable diagnostic and prognostic information about the cardiorespiratory system.
There is evidence that VO 2max is clearly associated with levels of conventional cardiovascular risk factors even in people considered to be fit 6 .To interpret results of VO 2max , reference values are required. Reference values for VO 2max in different populations have been reported 1,[6][7][8][9] ,however no data exists for reference values for Malawian young adults. The aim of this study therefore was to determine mean VO 2max values for young Malawian adults and compare these values with the reference values established for other foreign populations.
oxygen uptake obtained during strenuous, dynamical work involving large muscle groups. 2 VO 2max is the major parameter used to describe physical capacity [2][3][4] .
This was a cross sectional study in which 62 male and 71 female young adults (n = 133) aged 20 to 29 years participated. All participants were randomly recruited from the general population within communities around Blantyre, Malawi. Participants were contacted and asked for permission by the researcher who explained the nature of the study and assessed eligibility of those who agreed to participate. Informed consent was obtained from all eligible and willing individuals to participate in the study,which was approved by the University of Malawi's College of Medicine Research and Ethics Committee (COMREC). The study is in conformity with the laws of Malawi and the Declaration of Helsinki.
A motorized treadmill ( Cardiorespiratory Fitness of young Malawian Adults time was used to conduct the exercise test. A Polar heart rate monitor (FT 4) was used to obtain postexercise heart rate and time to walk a one mile equivalent on the treadmill. A body weight scale and a drop-down tape measure were used to obtain height and body weight measurements respectively.
i. Height and body weight Height and body weight measurements for each participant were collected using a body weight scale and tape measure before the exercise test. Height measurements were obtained using a drop down tape measure fixed at about two metres on a wall. The participants removed their shoes before taking the measurement and stood with their backs against a wall while facing directly forward. The backs of their feet, calves, buttocks, upper backs and the backs of their heads were all in contact with the wall. The drop-down measuring device was lowered until it rested gently on the top of each participant's head, after which the measurements were recorded. To obtain body weight measurements, the scale was set to zero before each participant stepped on it. The participants were asked to remove any heavy items from their pockets such as keys and any heavy clothing such as jackets, woolen jerseys, and shoes before stepping on the scale. Then the participants stepped on the scale and stayed still for a short time while facing straight ahead, after which the measurement was recorded. Height and body mass measurements were used to calculate body mass index (BMI) scores.
ii. VO 2max and post-exercise heart rate Maximal oxygen uptake (VO 2max ) was calculated as a measure of cardiorespiratory fitness. VO 2max was predicted from the Rockport one mile submaximal exercise test 10 . The Rockport one mile submaximal exercise test has been proven to be a reliable and valid protocol in predicting VO 2max in untrained subjects 11,12 .In addition, the Rockport one mile submaximal test lessens problems of exhaustion and injuries associated with exercise testing 12 . Maximal oxygen uptake scores were predicted from the Rockport one mile walking test formula: VO 2max = 132.853 -(0.0769 x body mass) -(0.3877 x age) + ( 6
The procedure of the test started with a warm up of about eight to ten minutes. The warm up was aimed at familiarizing the participants with treadmill walking and also to ensure safety. After warming up, the participants were asked to walk 1.6 kilometres (one mile) as fast as possible on a motorized treadmill, without jogging or running. The participants' postexercise heart rates (PoExHR) and times to complete the one mile distance were recorded using a Polar heart rate monitor. To obtain post-exercise heart rates, the participants each wore a Polar H7 Bluetooth smart heart rate sensor secured with a strap around the chest and a heart rate monitor watch on the wrist while exercising. The sensor, which contains a transmitter rested below the breast, detected the electrical activity of the heart and transmitted the information to the monitor watch where it was displayed. Time taken by each participant to complete one mile was also displayed on the monitor watch and was recorded immediately after the exercise test.
The treadmill test was performed twice by each participant to obtain an average heart rate for calculating VO 2max . An active recovery period of two to five minutes was allowed immediately after the first test in preparation for the second test. The exercise tests were done individually. Each participant was scheduled for his or her own time for the exercise.
IBM SPSS 21 was used to analyse the data. Descriptive statistics with mean and standard deviation were used to characterize data variables. Linear regression analysis was applied to analyse correlations between age and VO 2max as well as age and time to complete the one mile equivalent on a treadmill. All statistical tests were two -sided and p values of ? 0.05 were considered statistically significant.
Baseline characteristics of participants are presented in Table 1. The mean value for VO 2max in Malawian young adults was higher in males compared to females (53.9 mL . kg -1. min -1 versus 38.8mL . kg -1. min -1 ) (Table 2). When compared to other foreign populations, VO 2max of young Malawian males was comparable to that of young Norwegian males (53.9 mL . kg -1. min -1 versus 54.0mL . kg -1. min -1 ), whereas VO 2max for young Lithuanian males was lower (40.4mL . kg -1. min -1 ) compared to both Malawian and Norwegian males. Norwegian females had a higher VO 2max mean value (42.9 mL . kg -1. min -1 ) compared to both Malawian females (38.8 mL . kg -1. min -1 ) and Lithuanian females (34.7 mL . kg -1. min -1 ) (Table 3).
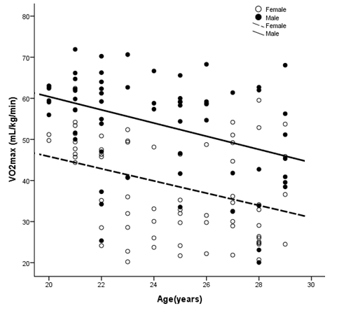
VO 2max was inversely and linearly related to age in both Malawian males (VO 2max = 100.161 ? 1.970 × Age) and females (VO 2max = 72.025 ? 1.339 × Age). An increase of 1 year in age was related to an average decrease of 1.97mL . kg -1. min -1 in VO 2max for males and 1.339 mL . kg -1. min -1 in VO 2max for females (Figure 1). About 53% of an individual's decrease in VO 2max could be explained by a related increase in age for males (?? 2 = 0.538). Whereas in females, a decrease of 37% in an individual's VO 2max could be explained by a related increase in age (?? 2 = 0.378). Similarly, VO 2max was inversely and linearly related to time to complete the 1 mile test in both male (VO 2max = 70.402 ? 0.133 × ????????????)and female (VO 2max = 56.836 ? 0.148 × ????????????) Malawian young adults. An increase of 1 minute in time to complete 1 mile distance was related to an average decrease of 0.133 mL.kg -1 .min -1 in VO 2max for males and 0.148 mL.kg -1 .min -1 for females (Figure 2). About 5% of an individual's decrease in VO 2max could be explained by a related increase in time to complete 1 mile [R 2 (males) = 0.057;R 2 (females) = 0.051].
The purpose of the study was to determine mean VO 2max values for young Malawian adults aged20 to 29 years. Results of this study present VO 2max reference values for young Malawian adults from a randomly selected sample of apparently healthy young men and women (Table 2). It has been reported that women achieveVO 2max scores of about 15% to 30% below those of male counterparts in healthy populations 3,14,15 . The present study has demonstrated thatVO 2max relative to body mass was28% higher in young Malawian men than in women. Findings from the present study are consistent with previous studies that found lowerVO 2max in females compared with males in healthy participants 15,16 .Lower values of VO 2max in women are a result of lower haemoglobin and blood volume, smaller stroke volume and smaller muscle mass compared to males 3 .
In relation to cardiorespiratory fitness values for other foreign populations, the present study has revealed that young Malawian and Norwegian males have almost similar VO 2max values, while Malawian females have lowerVO 2max values of about 9% compared to Norwegian females (Table 3).The difference in VO 2max between Malawian and Norwegian females can partly be explained by a smaller difference of about 21% between male and female Norwegians 6 compared to a slightly higher difference in VO 2max of 28% between Malawian males and females. In addition, it was observed that young Malawian males had a higher VO 2max of about 25% compared to young Lithuanian males. Similarly young Malawian females had a slightly higherVO 2max of about 11% compared to young Lithuanian females. It has been reported that VO 2max in healthy Lithuanians is approximately 9 -22% lower compared to other populations 8 which could somewhat explain the relatively low VO 2max values compared to young Malawian adults. With respect to normative cardiorespiratory fitness values published by the American College of Sports Medicine (ACSM) 13 , data provided by the Cooper Institute, young Malawian men in the current study fell above the 80 th percentile of VO 2max which translates to excellent cardiorespiratory fitness. On the other hand, young Malawian females fell slightly above the 50 th percentile of VO 2max which translates to good cardiorespiratory fitness. This impressive cardiorespiratory fitness could be attributed to physical activity habits of young Malawians such as walking long distances to work-places which increase their physical capacity.
The age related decline in cardiorespiratory fitness has been demonstrated in a number of investigations 1,6,8 . In the present study, the age related decline in VO 2max was 0.09mL . kg -1. min -1 per year in males and 0.11 mL . kg -1. min -1 in females (Figure 1). A decline in VO 2max with increasing age has been attributed to central (cardiac) and peripheral (circulation and oxygen transport) factors 17 . Central and peripheral factors in VO 2max decline with aging have been attributed to several mechanisms. Among others, mechanisms such as the aging process itself (senescence); the decline of cardiac function; an impaired efficiency of oxygen extraction and utilization; a decreased muscle mass concurrent with increasing body fat; superimposed pathological processes; a decreased volume and efficiency of physical activity; and hereditary factors have been proposed to contribute to a decline in VO 2max with age 18 .However, despite the apparent effect of age on aerobic endurance, strong evidence indicate that habitual physical activity regardless of age exerts greater influence on aerobic endurance than chronological age per se 17 .Contrary to other western studies that reported a somewhat higher decline in VO 2max of approximately 0.34 -0.36 mL . kg -1. min -1 per year for males and 0.30 -0.32 mL . kg -1. min -1 per year in females within the 20 -29 year age range 8,19 , the present study has revealed a smaller decline in VO 2max of 0.09mL . kg -1. min -1 per year in males and 0.11 mL . kg -1. min -1 in females. The smaller age related decline in VO 2max for both males and females in the present study could partly be explained by the active lifestyle habits among Malawian populations compared to Western populations. In Malawi, a large percentage of the population is involved in manual labour and agricultural operations which demand considerable physical capacity. Lifestyle activities such as walking long distances to work-places, pushing heavy levers in industries, land preparation and post-harvest processing of farm produce increases physical capacity among Malawians, which may result in increased aerobic endurance compared to Western populations.
The study revealed a strong inverse linear association between VO 2max and time to complete the1 mile equivalent (exercise duration) on a treadmill in both male and female young Malawian adults (Figure 2). Almost 89% of an individual's variation in VO 2max could be explained by a related change in time to complete 1 mile equivalent. Exercise duration is one of the parameters that determine the intensity of an exercise. Exercise intensity can be manipulated by reducing the time to complete an exercise bout thus increasing the intensity of the exercise. Results from this study are consistent with other studies that revealed higher VO 2max scores associated with higher aerobic intensities [20][21][22] . VO 2max is considered to be a valid tool for measuring exercise intensity and a predictor of long time health 23 , however the method for obtaining VO 2max is complicated and not feasible in a limited resource rural clinical setting. Since VO 2max generally correlates significantly with maximum heart rate (HRmax) 24 , VO 2max can easily be elucidated from HRmax measures. HRmax measurements to predict VO 2max are more practical in a limited resource rural clinical setting since they could be obtained through pulse rate measurements. However measuring HRmax through pulse during exercise poses a challenge. A strong linear association between VO 2max and time to complete the 1 mile equivalent revealed from the current study suggests that the 1 mile time is a good proxy for VO 2max and may serve as a valid field test in limited resource settings like Malawi where treadmills may not be available. However further research on the same is required to validate this claim.
The study has limitations in terms of generalizability to the total young adult population in Malawi. Like any other age group, young adults are a very heterogeneous population. While the proposed study sample was quite diverse, the fact remains that certain segments of the young adult population in Malawi, like those from remote and rural areas, were not included. In addition, any time a data collection instrument is used, results are subject to reliability and validity of the instrument. Although information about the validity and reliability of Rockport 1 mile submaximal exercise test to predict VO 2max is known, the test has some limitations. Since participants had to walk as fast as possible, the accuracy of the test in predicting VO 2max depended on the pacing ability and motivation of the participant. Only subsequent research with other audiences from a wide range of geographical areas and other instruments will help further our understanding of cardiorespiratory fitness of young Malawian adults.
The study offers cardiorespiratory fitness values measured as VO 2max for apparently healthy young Malawians aged 20 to 29 years. Results from this study show that VO 2max values for young Malawian adults seem to be within similar ranges as those of some other foreign populations. With respect to VO 2max values published by the American College of Sports Medicine (ACSM) 13 , VO 2max values of young Malawian males fell slightly above the 80 th percentile indicating excellent cardiorespiratory fitness while those of young Malawian females fell slightly above the 50 th percentile indicating good cardiorespiratory fitness. Rehabilitation clinics and exercise testing laboratories in Malawi may use these results in promoting physical activity in the general population as well as evaluating exercise capacity for young Malawian adults.


| Abstract-Background: The interpretation of cardiopulmonary | |
| fitness values is based on previously published standard | |
| reference values. In other situations, this may cause | |
| considerable inaccuracies since cardiorespiratory fitness in a | |
| Year 2015 | specific population is determined by physical activity habits, geographic living area, body composition, genetics, and other factors, thus, reference values may differ significantly among various populations. The objective of this study was to |
| determine cardiorespiratory values measured as maximal | |
| oxygen uptake for young Malawian adults and compare these | |
| Volume XV Issue III Version I | values with the reference values established for other foreign populations. Methods: This was a cross sectional study involving 133 (62 males and 71 females) apparently healthy young adults aged from 20 to 29 years randomly selected from the Malawian population. Participants performed the Rockport submaximal treadmill exercise test. Measures of body weight, post-exercise heart rate and time to walk one mile were obtained and used to predict VO 2max as a measure of cardiorespiratory fitness. Results: Mean VO 2max was 53.9±12.5 mL . kg -1. min -1 for males and 38.8 for females indicating excellent cardiores-piratory fitness for males and good cardiorespiratory fitness for females according to the cooper institute data published by the American College of Sports Medicine (ACSM). |
| ( ) I | Conclusion: Cardiorespiratory fitness measured as VO 2max for apparently healthy young Malawian adults have been provided |
| and appear to be within similar ranges as those of some other | |
| foreign populations. | |
| © 2015 Global Journals Inc. (US) |
| All Subjects (n=133) | Male Subjects (n=62) | Female Subjects (n=71) | |
| Age (yrs) | 24.2 ± 5.2 | 23.5 ± 4.7 | 24.8 ± 5.5 |
| Height (cm) | 161.9 ± 7.9 | 167.6 ± 6.5 | 156.9 ± 5.3 |
| Weight (kg) | 58.5 ± 9.2 | 60.8 ± 7.9 | 56.4 ± 9.8 |
| BMI (kg/m 2 ) | 22.3 ± 3.1 | 21.6 ± 2.4 | 22.9 ± 3.5 |
| All data are in mean ± SD; SD = standard deviation; BMI = body mass index. | |||
| Year 2015 | ||||||
| VO 2max (mL . kg -1. min -1 ) | Total (n = 133) 45.9±14.4 | Male (n = 62) 53.9±12.5 | Female (n=71) 38.8±12.0 | 13 | ||
| PoExHR (bpm) 1 mile time (min) Our Study (Malawian population) Lithuanian Population Norwegian Population | 122.7±20.3 15.8±3.5 Age 20 -29 20 -29 20 -29 | 123.7±22.4 14.2±3.2 53.9±12.5 Male 40.4±5.8 54.0±8.7 | 121.8±18.4 17.0±3.2 Female 38.8±12.0 34.7±6.8 42.9±7.6 | Volume XV Issue III Version I | ||
| All data are in mean ± SD | ||||||
| Our Study | Cooper Institute data | |||||
| mean±SD | 95%CI | 20 th | 50 th | 80 th | ||
| Male | 53.9±12.5 | 51.0 -56.9 | 38.1 | 43.9 | 51.1 | |
| Female | 38.8±12.0 | 36.0 -41.8 | 31.6 | 37.4 | 44.0 | |
| 20 th and 80 th percentile values represent poor and excellent cardiorespiratory fitness categories, respectively, as published by the | ||||||
| American College of Sports Medicine (ACSM) 13 | ||||||
& Laucevi?iu A. Cardiorespiratory Parameters of Exercise Capacity in a Healthy Lithuanian Population: The Pilot Study. Hell J Cardiol 2013. 54 p. .
Validity of a Submaximal I-Mile Track Jog Test in Predicting V0 , max in Fit Teenagers. Pediatr Exerc Sci 2000. 12 p. .
Physical activity, exercise, and physical fitness: definitions and distinctions for health-related research. Public Health Rep 1985. 100 (2) p. .
Use of the Exercise Treadmill Test for the Assessment of Cardiac Risk Markers in Adults Infected with HIV. J Int Assoc Physicians AIDS Care (Chic) 2012. 00 (0) p. .
Aerobic fitness in a population of independently living men and women aged 55-86 years. Med Sci Sport Exerc 1999. (12) p. 31.
A 30 Year Follow -Up of the Dallas Bed Rest and Training Study: Effects of age on cardiovascular response to exercise. Circulation 2001. 104 p. .
A 30-Year Follow-Up of the Dallas Bed Rest and Training Study: II. Effect of Age on Cardiovascular Adaptation to Exercise Training. Circ 2001. 104 (12) p. .
Reference values for cardiorespiratory response and fitness on the treadmill in a 20-to 85-year-old population. 10.1378/chest.12-1458. Chest 2013. 144 (1) p. .
& Anderssen S. Reference Values for Cardiorespiratory Response and Fitness on the treadmill in a 20-85-year-old Population. Am Coll Chest Physicians 2013.
Exercise Standards for Testing and Training: A Statement for Healthcare Professionals From the. 10.1161/hc3901.095960. American Heart Association. Circulation 2001. 104 (14) p. .
Estimation of VO2max from a one mile track walk, gender, age and body composition. Med Sci Sport Exerc 1987. 19 p. .
Guideline for Exercise Testing and Prescription. ACSM 2009. Lippincott Williams & Wilkins. (8th ed)
Aerobic highintensity intervals improve VO2max more than moderate training. Med Sci Sports Exerc 2007. 39 (4) p. .
Accelerated longitudinal decline of aerobic capacity in healthy older adults. Circulation 2005. 112 (5) p. .
Exercise capacity and mortality among men referred for exercise testing. N Engl J Med 2002. 346 (11) p. .
The Importance of Cardiorespiratory Fitness in the United States: The Need for a National Registry: A Policy Statement From the. American Heart Association . Circ 2013. 127 (5) p. .
The 1-mile walk test is a valid predictor of VO(2max) and is a reliable alternative fitness test to the 1.5-mile run in U.S. Air Force males. Mil Med 2011. 176 (6) p. .
Validity of the Astrnand-Ryhming Nomogram for Predicting Maximal oxygen uptake. Br J Sports Med 1981. 15 (3) p. .
Effect of intensity of aerobic training on VO2max. Med Sci Sports Exerc 2008. 40 p. .
Peak Oxygen Uptake and Cardiovascular Risk Factors in 4631 Healthy Women and Men. Med Sci Sport Exerc 2011. October 2006. p. .
Effects of different running programs on VO2 max, percent fat, and plasma lipids. Can J Appl Sport Sci 1984. 9 (2) p. .
Mechanisms of exercise limitations in HIV+ individuals. Med Sci Sport Exerc 2000. 32 (7) p. .