eriodontal diseases constitute one of the major health-related problems of teeth and their supporting structures, with a high prevalence rate in the general population all over the world [1,2]. Evidence indicates that major risk factors in periodontal diseases include poor oral hygiene, tobacco use, severe alcoholism, stress and diabetes.
Advanced chronic periodontitis results from the interaction between gram-negative bacteria and the host's inflammatory response, finally resulting in tissue destruction and loss of teeth [3][4][5]. Presence of various bacterial products in the cellular components of gingival tissues has been reported to be a factor involved in the activation of cellular processes, leading to the destruction of connective tissue and bone [3,6]. Pathogenic bacteria can evade recognition and elimination by the host defense system and can inactivate the cells and humoral factors of the host, directly and indirectly affecting tissues [6]. The immune cells of the periodontium secrete proinflammatory mediators in response to periodontal pathogens and their endotoxins [7], one of which is cytokines in the gingival crevicular fluid (GCF).
In the same context, active cytokines which destroy tissues have been introduced as the main factors involved in the destruction of connective tissue adhesion and bone loss. Different kinds of cytokines are released by lymphocytes, monocytes and non-immune cells, such as fibroblasts and epithelial and endothelial cells in the inflamed periodontal tissues [8]. Cytokines are soluble glycoproteins, which function as signaling molecules for the control, behavior harmony and cell function.
On the other hand, growth factors are generally considered subsets of cytokines. These factors are biologic mediators which regulate cellular migration in the connective tissue and proliferation and synthesis of proteins and other extracellular matrix cells. Reaction of target cells to growth factors depends on the expression of their specific receptors. These receptors are membrane antigens which produce intercellular signals when they bind to growth factors and induce chemotaxis, cellular growth, and synthesis and differentiation of extracellular matrix [9]. It has been shown that receptors of growth factors are very important in inducing periodontal disease and regeneration in a rat model. [10].
Periodontal diseases comprise a number of chronic and acute inflammatory processes in response to bacterial products or components, which are diagnosed through resorption of some extracellular matrix components, including bone resorption. Severe destruction of periodontal tissues is probably related to an increased activity of proteinases derived from the host, including collagenase and gelatinase [11]. Since epidermal growth factor (EGF) is an important activator of collagenase and gelatinase, its presence in the gingival tissues of the rats has been evaluated and confirmed [12]. In addition, expression of gingival EGF has been reported during inflammatory processes in rat. So, it appears EGF is an important mediator in the pathogenesis of periodontal diseases [13].
Successful and effective treatment of chronic periodontitis depends on early diagnosis of the disease. As a result, even in the case of aggressive periodontitis, too, early diagnosis might to a great extent prevent subsequent problems and disturbances resulting from the condition. It can be concluded that recognition of risk factors involved in the pathogenesis of the condition is one of the most important factors contributing to the diagnosis and effective treatment of any disease condition [7].
Saliva, serum, urine and GCF samples have been used for evaluation of periodontal diseases. Some evaluations have shown that serum and urine can only be used for differential diagnostic tests because they pass through different body parts and a large number of constituents are incorporated into or deleted from serum and urine during these passes. Saliva, too, has some problems in the firm diagnosis because it contains many constituents derived from various sources, including salivary glands, serum, GCF, bacteria and foreign bodies [14]. However GCF is superior to other sources because it is easy to collect using a non-invasive procedure and it contains some products derived from the host, dental plaque and the products resulting from their interaction.
This study was carried out to evaluate and compare EGF levels in the GCF samples of patients with gingivitis and advanced periodontitis.
The present cross-sectional/analytical study was conducted according to the guidelines of the Helsinki Declaration of 1975, revised in 2000. The research protocol was approved by the Ethics Committee of the Dental Research Center of Tehran University of Medical Sciences. The study population consisted of patients referred to the Department of Periodontics, Tehran University of Medical Sciences, between March 2012 and August 2013 intended for periodontal treatment teeth that met the inclusion and exclusion criteria of the study.
11 patients with advanced periodontitis (5 females and 6 males with an age range of 30 to 65 years) and 13 patients with gingivitis (7 females and 6 males with an age range of 20 to 47 years) were included in the study. None-random sampling technique was applied based on the subjects available.
The inclusion criteria for patients with advanced periodontitis were as follows: attachment loss of ? 5mm, periodontal pocket depth > 3 mm, radiographic signs of bone loss and thorough systemic health.
The inclusion criteria for patients with gingivitis were as follows: presence of gingival inflammation with bleeding on probing, no attachment loss, any characteristics of periodontitis, any history of previous scaling or root planing, absence of bone loss on panoramic radiographs, periodontal pockets depth of ? 3 mm and thorough systemic health.
Based on our previous study, the amount of GCF is absolutely low and in many cases we were not able to calculate it [18]. Therefore, healthy controls were not included in this study and the control was considered as zero.
The exclusion criteria consisted of a history of systemic diseases with an effect on periodontal tissues, use of antibiotics six month before the study, periodontal treatment during the previous year, pregnancy and lactation, history of any prophylactic procedures, smoking, and lack of patient compliance.
The patients received explanations about the study design and consent forms were obtained. The demographic data of the subjects were recorded, which consisted of name, age, sex, occupation, educational status, presence of systemic conditions, use of antibiotics and frequency of use, pregnancy and lactation as well as a history of any periodontal treatment.
In the present study, samples were collected using sample non-invasive techniques after the subjects signed informed written consent forms. In addition, all the laboratory steps of the study on patient samples, except for sampling procedures, were carried out in the absence of the patients. To this end, Whatman absorbent papers (P&R Labpak, united kingdom, catalog number #1001 110), which had previously been cut to 2×8 mm dimensions and sterilized in a dry oven, were used (Figure 2). Each paper strip was placed in a depth of 1 mm in the pocket for 1 minute (Figure 3). Subsequently, the patients' panoramic radiographs were used to evaluate and record bone loss (vertical and/or horizontal) generally in each patient (Figure 1). If patients were suffering from BOP without any bone loss, then they were assigned to the gingivititis group and if in addition to BOP, advanced bone loss (Advanced periodontitis) were observed these subjects were assigned to the periodontitis group.
Then, the number of teeth in each patient's mouth was recorded. Locations selected for sampling in the gingivititis and advanced periodontitis groups patients were 4 per-determined sites. (mesial, mid, distal aspect in buccal and mid lingual) , which included the deepest pocket in each quadrant and the following procedure was used to extract [15,16] GCF: 4 samples were collected and finally a sufficient amount of GCF was provided for measurements.
The solution pH value was adjusted at 7.8 by stepwise adding of hydrochloric acid (0.5 mmol/L). Finally, the volume was adjusted at 100 mL by incorporating distilled water. Solutions produced this way are stable, capable of being preserved for a period of 6 months at -4°C. To achieve an identical test condition for all the samples, 300 ?L of the solution was placed in each Eppendorf tube. The samples were preserved at -20°C in the laboratory until sufficient number of samples was collected for the use of an ELISA kit. Finally, the samples were simultaneously evaluated.
Before evaluation of the samples with ELISA, all the samples were placed in a mixer and homogeneously dissolved in the buffer solution. . In this way, each patient had only one sample for evaluation by ELISA.
A standardized curve was used to determine the concentration of the samples in ng/mL.The labolatory steps of ELISA test procedurewas carried out carefully according to company instruction (R&D Systems, Minneapolis, MN, USA Catalog number # DEG00*).
i) Statistical analysis SPSS 22 .0 was used for statistical analysis. To this end, central dispersion parameters of age and EGF levels of GCF were determined and reported. Independent t-test was used to compare EGF levels in the GCF samples of patients with gingivitis and advanced periodontitis at a significant level of P<.05. To determine the correlation of clinical parameters and EGF levels of GCF, Spearman's rho (2-tailed) test was used. Level of statistical significance for this test was set to <.01.
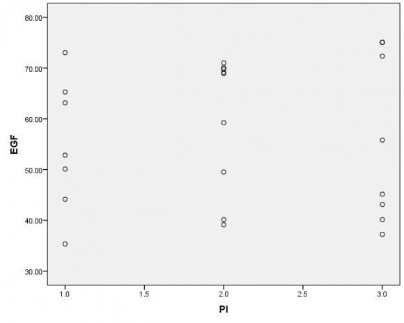
Based on the results, evaluation of EGF levels in the GCF samples of the subjects showed that the mean levels in patients with gingivitis and advanced periodontitis were 68.07 ng/mL (SD=6.45) and 43.61 ng/mL (SD=.18), respectively (Table1). Independent ttest showed significant differences between the two groups of patients in EGF levels of GCF, with significantly higher levels in patients with gingivitis compared to those with advanced periodontitis (P<.001). Evaluation of EGF in the GCF of patients revealed mean concentrations of 68.07 ng/mL and 43.61 ng/mL in patients with gingivitis and advanced periodontitis, respectively, demonstrating a significantly lower level of the factor in the GCF of patients with advanced periodontitis compared to those with gingivitis. Moreover, EGF concentrations in GCF have shown to be in significant negative correlation with PPD and CAL (P<.001). In other words, the concentration of EGF had significantly decreased with the progression of periodontal disease.
According to Oxford et al (2000) cells in the injured area or with periodontal disease are able to synthesize growth factors and can have an effective role in wound healing processes, evaluation of the mechanisms associated with the course of periodontal diseases or other oral manifestations is of great significance [17], although some studies [17,18] demonstrated that the role of EGF in saliva may be similar to its role in GCF as a prognostic factor for periodontal disease, authors belive evaluating the EGF levels in GCF that carefully was isolated from the saliva contamination, can show more solidarity with progression of periodontal disease.
Moosavijazi et al (2014) reported that significant differences between the three understudy groups (patient with periodontitis and patient with gingivititis and healthy controls) in the salivary level of EGF, with a significant decrease in EGF levels with the progression of periodontal disease. Given a significant decrease in the salivary level of EGF in patients with periodontal disease, it appears that change in EGF level is an important mechanism associated with the pathogenesis of periodontal disease [18]. This conclusion is in agreement with our findings in the GCF. It is suggested to design studies in the future that can evaluate and compare EGF concentrations in saliva and GCF in different periodontal health conditions. By the suggested study design, we can find which one of saliva or GCF can be more helping in the determination of periodontal deterioration.
It must be stated that although commonly in studies where more than one cytokine evaluated, the concentration is adjusted for the whole mg of proteins, however, in the present study, only EGF was evaluated, Therefore, there was no need to adjust the concentration for the whole mg of proteins.In a study by Chang et al (1996), concentration of EGF in the GCF samples collected from deep pockets (?5 mm) was reported to be approximately one-third of that in samples collected from shallow pockets (<5 mm) [19]. Since deep pockets have gingival indexes and GCF flow rates higher than those of shallow pockets, it appears this decrease in the concentration of EGF is associated with an increase in the severity of inflammation. The results of the present study confirmed the results of the mentioned study because there was a decrease in the EGF levels of GCF with an increase in PPD and CAL, which were higher in patients with periodontitis compared to patients with gingivitis. An increase in the GCF flow, which is one of the complications of inflammation, might exert a dilutive effect on the concentration of EGF. This dilutive effect might also be attributed to an increase in its stasis in the area after an increase in its volume in the more superficial areas of the pockets or an increase in the permeability of vessels, leading to more leakage.
On the other hand, not all studies reported the same findings. Mogi et al (1999) evaluated and compared the concentrations of a number of cytokines including EGF in the GCF in different conditions of periodontal tissues. They found no statistically significant difference between EGF concentrations in comparison of healthy controls and periodontitis patients [20]. Laurina et al (2009) reported that the highest expression of growth factors and their receptors are found in the gingival epithelium in patients with periodontitis and at the same time, normal gingival tissues exhibit low levels of growth receptors compared to inflamed tissue [21].
Generally, growth factors are considered a kind of cytokines and it appears EGF has an important role in the pathogenesis of periodontal disease because it induces the production of plasminogen, collagenase and gelatinase activators [12,22]. Plasminogen activator can convert plasminogen into plasmin, which consists of a broad range of proteins and has the potential to decrease extracellular matrix components, such as laminin and fibronectin [12]. In addition, it can degrade collagen by activating latent collagenase [12]. Furthermore, EGF can increase endothelial cell migration and production of plasminogen activators, which are inhibited by TNF [23]. On the other hand, it has been shown that EGF can induce proliferation of epithelial cells in inflammatory periapical lesions [24]. This inductive activity might be effective in the proliferation of junctional epithelium during formation of periodontal pockets.
Since activators of collagenase, gelatinase and plasminogen and TNF, IL-1 and prostaglandin E2 all have a role in tissue destruction in periodontal diseases, including bone loss, the results of the present study, in relation to decreases in growth factor levels concomitant with the progression of periodontal disease, showed that EGF might be an important regulator of the pathogenesis of periodontal disease due to its complex reactions with the factors mentioned above.
The low molecular weight polypeptide, EGF, plays important roles in epithelial growth and differentiation and in wound healing by binding to a cell surface receptor. In 1991, the gingival specimens of periodontally healthy subjects and patients with adult (AP) and juvenile periodontitis (JP) were examined by immunohistochemistry and a monoclonal antibody (mAb) directed against the EGF receptor [25]. They reported that EGF receptors were highly expressed on the surface of basal cell layers of gingival epithelium. However, in normal junctional epithelium, specific labeling was faint or negative. These findings showed that receptors are poorly expressed or absent in these cells. Therefore, EGF is involved in control of epithelial growth and differentiation in periodontal tissues. Considering that EGF receptors have been studied [25], we suggest that future studies should be designed, so that the expression of gingival receptors of EGF together with other cytokines in different types of periodontal diseases to be evaluated. This will help in obtaining more accurate results.
The action of some polypeptide growth factors in patients with rapidly progressive periodontitis (RPP) during periodontal therapy was studied in 1995 using alloplastic grafts [26]. They measured the levels of epidermal growth factor (EGF), fibroblastic growth factor (FGF), platelet-derived growth factor (PDGF) and transforming growth factor beta (TGF beta) in both blood serum and saliva. The results showed significant differences in the behaviour of growth factors in blood referred to EGF and PDGF. It was found that serum concentration of RPP patients were higher at the beginning of the study and after three months as compared to control group. On the other hand, the concentrations of EGF, PDGF and FGF were not significantly different in salivary samples as compared with control group.
Cytokines derived from resident and inflammatory cells during inflammation have important roles for diagnostic purposes. In 2003, the evidences of a study was released in which the area fraction (AA%) occupied by collagen fibers and the amount of cytokines including interleukin (IL)-1beta, IL-4, IL-6, tumor necrosis factor (TNF)-alpha, transforming growth factor (TGF)-beta, and epidermal growth factor (EGF) had been investigated [27]. They aimed to show correlation between such cytokines, collagen degradation, and the gingival index. The study was designed on culturing gingival tissue specimens of patients with mild, moderate and severe gingival inflammation to be compared to the samples obtained from healthy. The cytokines present in the culture media were then quantified by enzyme-linked immunosorbent assay (ELISA). They calculated then the area fraction (AA%) occupied by the gingival fibers through automated image analysis. Based on their results, significant differences were observed between means of AA% in examined groups for collagen fibers as compared to controls. They reported significant increases of IL-1beta (groups 3 and 4), IL-6, and TNFalpha (group 3); a significant decrease of IL-4 (groups 2, 3, and 4) and TGF-beta (groups-2 and, 3); and no change of EGF. It was also reported that collagen AA% was significantly correlated with the amounts of IL-4 and TGF-beta, and significantly inversely correlated with the amounts of IL-1beta for all 3 inflamed groups and IL-6 and TNF-alpha for groups 2 and 3. It was concluded that EGF was not changed in inflamed gingival tissue and that IL-1beta and IL-4 were particularly and intensively correlated with collagen loss. These results expressed that cytokines could be markers of clinical severity during active periodontitis.
It is suggested that detecting alternations in different compounds present in gingival crevicular fluid (GCF) could be considered as potent indicators of periodontal disease activity. In a 2006 study, human cytokine array V, was used in order to determine the profile of cytokines in GCF from chronic periodontitis patients and to be compared with healthy subjects [28]. Their statistically analyzed results showed the presence of only 10 cytokines in periodontally healthy sites, while this number raised to about 4 times (36 cytokines) in the cases with periodontal disorder. Among the evaluated cytokines, EGF and some others were reported to be significantly higher in diseased sites than healthy sites. In contrast to the present study in which a quantitative method was utilized, in the above-mentioned research a semi-quantitative one was used. So, it is not possible to compare the EGF concentrations between the two studies. Moreover, in the current study, EGF was found to be at lower amounts in periodontits in comparison to gingivitis. Overally, from the results of the abovementioned and the present studies, it can be hypothesized that EGF expression in GCF will increase eventually as gingivitis emerges and then will decrease as periodontitis develops, but to a level still significantly higher than health condition. But this hypothesis has to be confirmed by further studies.
The effect of epidermal growth factor (EGF) on the expression of MMPs and TIMPs in cultured human gingival fibroblasts has also been reported [29]. It was found that MMP-1, 3, 7 and 11 expressions were increased at all EGF concentrations. However, at the lowest EGF concentration, MMP-1, 3 and 7 showed only small expression while MMP-11 presented the greatest expression. On the other hand, at higher EGF concentrations, MMP-1, 3 and 7 presented greater upregulation, and MMP-11 lower up-regulation. The study suggested that EGF may play a role in periodontal destruction and wound repair.
Porphyromonas gingivalis is one of the most important periodontal pathogens. It has been shown that this bacteria have the ability to inactivate EGF by its peptidylarginine deiminase enzyme [30]. This finding may suggest a potential mechanism for the progression of periodontal disease. Because, based on the discussed articles, EGF has a protective role in the periodontium. Based on results of our present study, there is a significant decrease in EGF levels in the GCF with progression of periodontal disease from gingivititis to periodontitis. So, it may propose another potential mechanism for periodontal destruction; reduction in the quantity of EGF in the GCF. But this suggestion has to be confirmed by performing studies regarding the possible reasons for this reduction.
There is a significant decrease in EGF levels with exacerbation of periodontal disease. On the whole, given the significant decrease in EGF levels in the GCF samples of patients with periodontal disease, it is suggested that alterations in the concentrations of EGF in the GCF may predict the pathogenesis of periodontal diseases. Future studies regarding the effect of periodontal treatment on EGF concentrations in GCF samples of patients with periodontal disease is suggested.
Year 2015 ( ) J







| Group | No | Mean | SD | Std error | 95% confidence interval Upper bound Lower bound | |
| Gingivitis | 13 | 68.07 | 6.45 | 1.79 | 71.97 | 64.17 |
| Periodontitis | 11 | 43.61 | 6.18 | 1.86 | 47.77 | 39.46 |
| PI | BOP | PPD | CAL | Age |
The authors would like to thank Dr. MJ Kharrazifard for his valueable help regarding the data analysis of this study.
All authors declare that written informed consent was obtained from the patient (or other approved parties) for publication of this study and accompanying images. A copy of the written consent is available for review by the Editorial office/Chief Editor/Editorial Board members of this journal.
All authors hereby declare that all experiments have been examined and approved by the appropriate ethics committee and have therefore been performed in accordance with the ethical standards laid down in the 1964 Declaration of Helsinki.
Profiling the cytokines in gingival crevicular fluid using a cytokine antibody array. Sakai. J Periodontol 2006 May. 77 (5) p. .
Are cytokines linked to collagen breakdown during periodontal disease progression?. J Periodontol 2003 Feb. 74 (2) p. .
Effect of inflammation, smoking and stress on gingival crevicular fluid cytokine level. J Clin Periodontol 2003 Feb. 30 (2) p. .
Regulation of epithelial cell growth factor receptor protein and gene expression using a rat periodontitis model. J Periodontal Res 2006. 41 p. .
Risk factor for periodontitis. J Int Acad Periodontol 2005. 7 p. .
Elevated levels of human salivary epidermal growth factor after oral and juxtaoral surgery. J Oral Maxillofac Surg 1999. 57 p. .
Salivary EGF levels reduced in diabetic patients. J Diabetes and Its Complications 2000. 14 p. .
Importance of the host response in the periodontium. J Clin Periodontol 1991. 18 p. .
Physiological mechanisms for metalloproteinase activation. Matrix 1991. l p. . (Suppl)
Role of matrix metalloproteinases in human periodontal diseases. J Periodontol 1993. 64 p. .
Interleukin-l?3 and transforming growth factor-?/epidermal growth factor induce expression of Mr 95,000 type IV collagenase/gelatinase and interstitial fibroblasttype collagenase by rat mucosal keratinocytes. J Biol Chem 1993. 268 p. .
Cytokine profile in gingival crevicular fluid of aggressive periodontitis: influence of smoking and stress. J Clin Periodontol 2004 Oct. 31 (10) p. .
Mechanisms of connective tissue matrix destruction in periodontitis. Periodontol 2000. 1997. 14 p. .
Epidermal growth factor in gingival crevicual fluid and its binding capacity in inflamed and non-inflamed human gingiva. Archs Oral Biol 1996. 41 (7) p. .
Cytokines and periodontal disease: immunopathological role of interleukins for B cell responses in chronic inflamed gingival tissues. J Periodontol 1993. 64 p. .
Inactivation of epidermal growth factor by Porphyromonas gingivalis as a potential mechanism for periodontal tissue damage. Infect Immun 2013. 81 (1) p. .
Immunohistochemical localization of epidermal growth factor receptors in human gingival epithelia. J Periodontal Res 1991. 26 (4) p. .
Polypeptide growth factors in the course of surgical periodontal treatment. Rocz Akad Med Bialymst 2000. 45 p. .
Expression of growth-factor receptors in normal and regenerating human periodontal cells. Arch Oral Biology 2002. 46 p. .
Tumor necrosis factor and epidermal growth factor modulate migration of human microvascular endothelial cells and production of tissue-type plasminogen activator and its inhibitors. Expl Cell Res 1991. 192 p. .
Interleukin 1?, interleukin-6, ? 2 -microglobulin, and transforming growth factor-alpha in gingival crevicular fluid from human periodontal disease. Archives Oral Biol 1999. 44 p. .
Comparison of Salivary Epidermal Growth Factor Levels in Patients with Gingivitis and Advanced Periodontitis and Healthy Subjects. Journal of Dentistry 2014. Tehran.
The World Oral Health Report 2003: Continuous improvement of oral health in the 21st century -The approach of the WHO Global Oral Health Programme. Community Dent Oral Epidemiol 2003. 31 p. .
Epidemiology of periodontal disease: An update. J Int Acad Periodontol 1999. 1 p. .
The effect of epidermal growth factor on matrix metalloproteinases and tissue inhibitors of metalloproteinase gene expression in cultured human gingival fibroblasts. Arch Oral Biol 2007 Jun. 52 (6) p. .
Advance's pathogenesis of periodontitis: summary of developments, clinical implications and future directions. Periodontol 2000 1997. 14 p. .
The American Academy of Periodontology. The pathogenesis of periodontal diseases (information paper). J Periodontol 1999. 70 p. .
Epidemral growth factor expression in junctional epithelium of rat gingival. J Periodont Res 1992. 27 p. .
Growth factors/ cytokines/defensins and apoptosis in periodontal pathologies. Stomatologija 2009. 11 (2) p. .