Abstract-Background: The use of CT scan which is recognized as a high radiation dose modality has increased substantially over the past decade regardless to the high radiation levels received by patients. In CT scan, the potential damage from an absorbed dose during CT scan depends on the dose of radiation received and the sensitivity of different tissues and organs. The superficial organs such as thyroid and gonads have a higher sensitivity for radiation in CT scan that are significant enough to be matter of concern. Moreover, beyond certain thresholds, radiation can impair the functioning of tissues or organs and can produce acute hazard for deterministic effect.
Objectives: To evaluate the differences among radiation dose received by thyroid gland and gonad for male patient undergoing Brain, Chest, and abdominopelvis CT examination, and to determine if the doses will reach the maximum threshold of deterministic effects.
Material and Methods: The current study was conducted in Radiology Department, Philips brilliance MDCT scan has been used in Dr. Sardjito General Hospital. Calibrated RAD-60 dosimeter in May 2016 was used to measure the radiation dose for thyroid gland and gonads. There were 45 patients divided into three groups 15 for brain CT scan, 15 for chest CT scan, and 15 for abdominopelvis CT scan. The data obtained were analyzed using ANOVA and T-test.
Results: The differences in radiation dose received by thyroid gland and gonads between three groups (P < 0.05). The highest mean of radiation dose received by thyroid gland in brain CT (12±6 mSv), and the highest mean of radiation dose received by gonads in abdominopelvis CT (8 ±5 mSv). By using T-test one way to compare sample mean with population mean (P < 0.05) which means that the radiation dose received by thyroid gland was less than 0.065 Gy, and the radiation dose received by gonads was less than 0.1 Gy because (P < 0.05). From this study There were a wide differences between radiation dose received by thyroid gland
omputed tomography, more commonly known as a CT scan, is a kind of diagnostic imaging produces with multiple slice imaging techniques 1 , and it has been recognized as a high radiation dose modality, when it compared with other diagnostic x-ray techniques. The multislice scanners has focused further attention on this issue, and it is generally believed that it will lead to higher patient doses, that can potentially cause higher risk to the patient due to increased capabilities allowing long scan lengths at high tube currents 2 .
CT imaging involves the using of x-rays, which are a form of ionizing radiation. Ionizing radiation referred to radiation which has enough energy to remove an electron from a neutral atom or molecule, creating a free radical. Ionizing radiation is capable of creating DNA damage that can lead to cancer. Interaction between ionizing radiation and biological tissue and organs may affect the DNA structure, the cellular mechanisms and potentially cause harmful effects on living organisms 3 . These biological effects of radiation on human body can be divided into two categories, Stochastic effects and Deterministic effects 4 . Stochastic effects are malignant disease and heritable effects for which the probability of an effect occurring but not its severity 5 . In contrast, deterministic effects also called tissue reactions are those due to injury of a population of cells from radiation induced cell death or serious malfunction. Deterministic effects characteristically only occur above a threshold dose 6 . Moreover, the cell killing or induction of chromosomal damage is related to radiosensitivity of the organs. The superficial organs like thyroid gland, and gonad are more radiosensitive than other organs, so high doses of radiation can permanently damage normal thyroid gland or cause genetic mutations in the further generations for reproductive cells (gonad) [7][8]
This is a cross sectional study that was conducted in Radiology Department in Dr. Sardjito General Hospital, Yogyakarta, Indonesia, to evaluate the differences of radiation dose received by thyroid gland and gonads for male patients underwent brain, chest, and abdominopelvis CT examinations. A Calibrated RAD-60 dosimeter which were performed by National Nuclear Energy Agency BATAN on May 2016. The RAD-60 was placed on patient thyroid gland and other one on patient gonads, and the equivalent dose was recorded after each examination. The current study compares two groups (thyroid gland and gonad doses), using different types of CT scan examination, such as brain, chest, abdominopelvis CT scans by the influence of scanning parameters in CT scan, such as scan time, scan length, tube current, slice thickness, and pitch. The sample size was 45 patients, were qualified to inclusion and exclusion criteria.
This study obtained the permission from the Medical and Health Research Ethics Committee of Faculty of Medicine, Gadjah Mada University RSUP Dr. Sardjito hospital with certificate number KE/FK/769/EC/ 2016 on July 14, 2016.
The percentage of the patients underwent scans with contrast, and the patients underwent scans without contrast. The total number of patients was 45, consisting of 12 patients were scanned without contrast (26, 7%), and 33 patients were scanned with contrast (73.3%). In each group from brain, chest, and abdominopelvis CT scan 15 patient were scanned. In brain CT scan 5 patients were scanned without contrast (33.3 %), and 10 patients were scanned with contrast (66.7 %). In abdominopelvis CT scan 3 patients were scanned without contrast 3 (20.0 %), and 12 patients were scanned with contrast (80.0 %). In chest CT scan 4 patients were scanned without contrast (26.7%) and 11 patients were scanned with contrast.
The lowest mean radiation dose received by thyroid gland was 2±1 mSv in abdominopelvis CT scan for with and without contrast, and the highest mean radiation dose received by thyroid gland was 12±6 mSv in brain CT scan for with and without contrast . The P < 0.05; which mean there were differences between three groups. Whereas the lowest mean radiation dose received by gonads was 0.03±0.04 mSv in brain CT scan for with and without contrast scan, and the highest mean radiation dose received by gonads 8±6 mSv in abdominopelvis CT scan for with and without contrast.
The lowest radiation dose received by thyroid gland was 1± 0.4 mSv in abdominopelvis CT scan without contrast, and the highest radiation dose received by thyroid gland was 7 ± 2 mSv in brain CT scan without contrast. The P < 0.05; which mean there were differences between three groups. Whereas that the lowest radiation dose received by thyroid gland was 1±1 mSv in abdominopelvis CT scan with contrast, and the highest radiation dose received by thyroid gland was 8 ± 3 mSv in brain CT scan with contrast. The P < 0.05; which mean there were differences between three groups. For gonad, that the lowest radiation dose received by gonads was 0.02± 0.02 mSv in brain CT scan without contrast, and the highest radiation dose received by gonads was 3±2 mSv in abdominopelvis CT scan without contrast. The relationship between tube current with thyroid radiation dose was the highest in brain CT scan around 0.0088 mSv/s mm mm pitch, and in chest CT was 0.0032 mSv/s mm mm pitch. The scan length with thyroid radiation dose was the highest in brain CT scan around 0.0085 mSv/s mA mm pitch, and in chest CT was 0.0025 mSv/s mA mm pitch. The scan time with thyroid radiation dose was the highest in brain CT scan around 0.0005 mSv/mm mA mm pitch, and in chest, and abdominopelvis CT ware less than 0.0005 mSv/mm*mA*mm*pitch. For slice thickness and pitch the thyroid gland dose/scanning parameters was less than 0.0005 mSv/s*mA*mm*pitch for slice thickness and also less than 0.0005 mSv/s*mA*mm*mm for pitch Figure (5). f) Absorbed dose and deterministic effect for thyroid gland and gonad By using one sample T-test, this analysis is used to examine the mean difference between the sample and the known value of the population mean, and sample mean should be compared with the population mean. The mean of absorbed dose in (Gy) for gonad for three groups. In abdominopelvis radiation absorbed dose by gonad was 0.00078±0.0045 Gy, for chest CT scan was 0.0002±0.00011 Gy, and for brain CT scan was the lowest one was 0.0000±0.00004 Gy. the P value P < 0.05; which mean the sample mean was less than population mean which is equal 0.1 , 2, and 5 Gy.Figure (7/B)
The mean of absorbed dose in (Gy) for thyroid gonad for three groups. In abdominopelvis radiation absorbed dose by gonad was 0.0017 ± 0.0011 Gy, for chest CT scan was 0.0073 ± 0.0023 Gy, and for brain CT scan was the highest one 0.0118 ± 0.0054 Gy. The P value P < 0.05; which mean the sample mean was less than population mean which is equal 0.065 Gy. This value if absorbed by thyroid gland cells, the possibility of thyroid cancer will be increased around 15-53 %. Figure
Radiation dose from CT procedures varies from patient to patient. The particular radiation dose received by organs depend on the size of the body part being examined, organ location, the type of procedure, and other factors. Typical values cited for radiation dose should be considered as estimation that cannot be precisely associated with any individual patient examination.
This study showed that sizable differences in thyroid gland and gonad dose exist among different types of CT examination such as brain, chest, and abdominopelvis CT scan. The differences of radiation dose depend on the scanning parameters such as exposure factors, distance, Pitch, scan length, and scan time.
1. Exposure factors: The selection of tube voltage kVp determines the energy of the x-rays reaching the patient. Increase in kVp, the radiation dose to the patient will increase so the dose in CT is directly proportional to square of kVp9. However, mA is adapted to body parts, thinner parts need less radiation With increasing mA, patient organ dose increased10. The relationship between tube current and radiation dose received by thyroid gland was highly in brain CT scan which was around 0.0088 mSv/s mm mm pitch. Whereas the relationship between tube current and radiation dose received by gonad was highly in chest CT scan which was around 0.011 mSv/s mm mm pitch, but in abdominopelvis CT scan 0.00092 mSv/s mm mm pitch, so even though the tube current was high, there was no strong significant between tube current in abdominopelvis CT and radiation dose received by gonad 0.00092 mSv/s mm mm pitch.
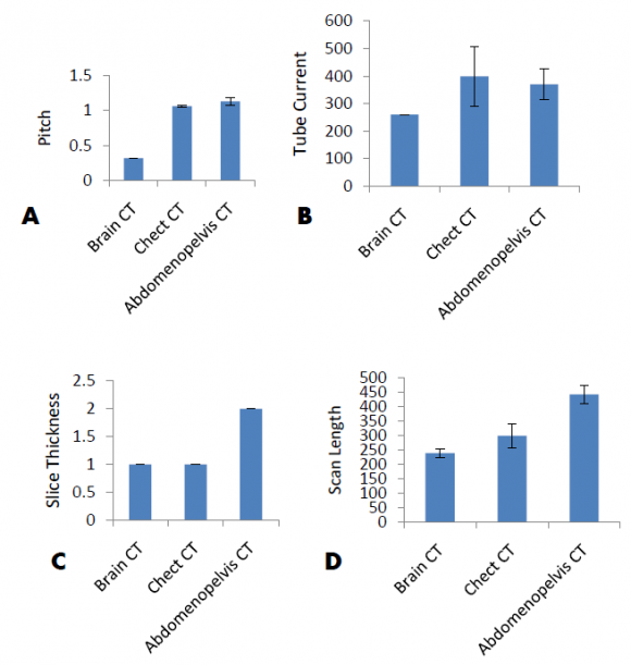
The scan length is defined as the volume that is irradiated along the cranio-caudal axis of the patient. Radiation dose is directly proportional to the scan length11. The mean scan length in abdomiopelvis CT scan was the highest (443±32) mm, whereas the mean of scan length in chest CT scan is (299±42) mm, and in brain CT scan was (239±14) mm. There was a strong relationship between scan length and radiation dose received by thyroid gland was highly in brain CT scan which was around 0.00838 mSv/s mm mA pitch. Whereas the relationship between scan length and radiation dose received by gonad was highest in abdominopelvis CT scan which was around 0.011 mSv/s mm mA pitch.
Volume XVI Issue II Version I 3. Pitch: Patient dose is inversely proportional the pitch. Larger pitches lower the radiation dose, and it has directly relationship with tube current mA when pitch increase the mA decrease12. The highest mean of pitch was in chest CT scan (1.068±0.02) which was less than the mean of pitch in abdominopelvis CT scan which was (1.13±0.05), and in brain CT scan the mean of pitch was (0.32±0.00). The relationship between pitch and radiation dose received by thyroid gland and gonad was not highly significant like others factors. As shown in results that the highest radiation dose received by thyroid gland in brain CT scan was 0.000011 mSv/s mm mm mA because it was the lowest pitch 0.32 4. Slice thickness: slice thickness reducing of can increase the dose exponentially13. This study showed the mean of slice thickness in chest CT scan was the same of brain CT was (1±0.00 mm), and in abdominopelvis CT scan was (2±0.00 mm).
The relationship between slice thickness and radiation dose received by thyroid gland and gonads was not highly significant like others factors .The highest normalized dose with slice thickness was in brain CT scan was 0.000035 mSv/s pitch mm mA. the highest radiation dose received by gonad in abdominopelvis CT 0.0000049 mSv/s pitch mm mA.
5. Scan time: scan time contributes to an increased patient dose if the time is increased, so the scan time is an important factor in limiting exposure to the public and to radiological emergency responders14. The highest mean of scan time in this study for brain CT scan which was (17±059) second, in chest CT scan was (7±1) second, and in abdominopelvis CT scan was (9±1) second. There was a strong relationship between scan time and radiation dose received by thyroid gland was highly in brain CT scan which was around 0.000595 mSv/mm mm mA pitch, in chest CT scan was 0.000057 mSv/mm mm mA pitch, and for abdominopelvis was the lowest one 0.0000046 mSv/mm mm mA pitch. Whereas the relationship between scan time and radiation dose received by gonad was not strong like in thyroid gland, the highest was in abdominopelvis CT scan which was around 0.0000211mSv/mm mm mA pitch.
There was an important point that gonad can received more radiation dose in abdominopelvis CT scan even there was no strong relationship between scanning parameters and radiaton dose like in brain CT and radiation dose received by thyroid gland. The interpretaion of this was the radiation doses received by thyroid gland in brain CT and chest CT was a scatter radiation because the thyroid gland was not included in scan, while in the gonad was included in abdomino-pelvis CT scan so the radition received was directly from the scan.
Despite the clear evidence that CT provides invaluable information for diagnosis and patient management, a potential risk of radiation-induced malignancy exists. CT contributes a large part of the collective dose, in some countries it amounts to 70% of the dose from medical procedures; the individual patient skin dose in a single procedure is far below that which should cause concern for deterministic injury 13 . A deterministic effect is a somatic effect that increases in severity with increasing dose in the affected individual. The severity is related to the number of cells and tissues damaged by the radiation. Larger doses of radiation are usually required to cause a significant deterministic effect or to seriously impair health than are required to increase cancer or mutation risks 14 .
Radiosensitivity is the relative susceptibility of cells, tissues, organs, organisms, or any other substances to the effects of radiation. Radiosensitivity is highest in cells which are highly mitotic or undifferentiated [16][17] . Thyroid gland and gonad are a sensitive organs for ionizing radiation at a young age is a recognized risk factor for the development of differentiated thyroid cancer when the radiation dose absorbed in the thyroid area is 0.065 Gy18. Whereas for gonad the reproductive cells absorb around 0.1 Gy will cause the hereditary effects from radiation exposure could result from damage of chromosomes in the exposed person's reproductive cells (Meistrich, 2009), while if it absorb 2 Gy will cause the temporal sterility for 12 months, and dose around 6 Gy cause permanent sterility8. This study showed that the radiation dose for thyroid gland was evaluated and the maximum in brain CT scan which was equal 0.011 Gy this value was below the values of radiation hazard for deterministic thyroid cancer 0.065 Gy. Whereas the highest absorbed dose for gonads 0.0045 Gy was less than the values of radiation hazard for deterministic of genetic mutation 0.1 Gy, temporal sterility 2 Gy, and permanent sterility 5 Gy, but The possibility of such deterministic effects cannot be excluded if multiple CT scan procedures are performed on the same patient13.
1. There were a wide differences between radiation dose received by thyroid gland and gonad for male patients underwent CT scans. The major factor for these differences was the distance because the intensity of radiation decrease when the distance from the source increase. Moreover, there was a strong relationship between radiation dose received by thyroid gland and scanning parameters, because thyroid gland was not included in the scan. Whereas in gonad there was no strong relationship between scanning parameters, but can receive more radiation dose in abdominopelvis CT scan because gonad was included in the scan so the radiation received was directly from the scan. 2. The maximum absorbed doses by thyroid gland and gonad in CT scans were less than the maximum thresholds of radiation hazard for determinestic effect, but The possibility of such deterministic effects cannot be excluded if multiple CT scan procedures are performed on the same patient.
First of all, I would like to thank Allah for giving me the strength and courage to be persevere throughout the duration of my study.








Acknowledging greatest thanks to my father who has been my source of inspiration because of his continuous support and encouragement. My lovely mother who has dedicated all her life with sweat and blood to her sons. My brothers, and my sisters who have showed me their determination in which gave me confidence to pursue my study.
I would like to express my utmost gratitude to my main supervisor, Professor Dr. Arif Faisal the director of UGM hospital, and to my co-supervisor, Professor Dr. Kusminarto for their untiring dedication, brilliant knowledge of research, exceptional advice, leadership, ideas, support ,encouragement and constructive comments throughout writing which without them my research could not take place.
My deepest thanks go to the Radiology Department of Dr.Sardjito General Hospital Yogyakarta Province, Indonesia, of radialogy department staff.
Effects of Radiation Exposure From Cardiac Imaging: How Good Are the Data?. J Am Coll Cardiol 2013. (6) p. .
International Commission on Radiological Protection [ICRP]. New ICRP recommendations. J Radiol Prot 2008. 28 p. .
Radiation Protection in Medical Radiography. Publishing Services Manager: Catherine Jackson, 2011. (Sixth edition)
Managing Patient Dose in Multi-Detector Computed Tomography (MDCT). http://www.icrp.org/docs/icrp-mdct-for_web_cons_32_219_06.pdf ICRP 2006.
Monte Carlo method. Iran. J. Radiat. Res 2004. (4) p. .
Protection against radiation hazards: Regulatory bodies, safety norms, does limits and protection devices. Indian J. Radiol. Imaging 2002. 12 p. .
Radiation-Induced Well-Differentiated Thyroid Cancer:Disease Characteristics and Survival. Israel Med Assoc J 2016. 18 p. .