he term 'senescence' in the context of normal blood cells implies that the cells are removed from the circulation in an age dependent manner. Life span of erythrocyte varies between species, is exceptionally constant within a species [1]. Over the last few decades several age related alterations of erythrocyte membrane and mechanisms of damaged or aged RBCs have been investigated [1,2]. Out of these oxidative damage to erythrocyte membrane proteins and lipids is presently thought to play key role during senescence of normal RBSs as well as accelerated senescence of pathological red cells seen in thalassemia , sickle cell anaemia etc. The oxidative damage is initiated probably by oxygen free radicals (ROS) and other oxidants produced endogenously [3, 4,5,6,7,8]. In vitro characterization of density separated red cells also has provided cumulative oxidative damage [3].
Dense human red cells show moderately increased amounts of methaemoglobin [9]. Exposing intact erythrocytes or ghosts to oxidizing systems in vitro showed various modifications e.g. lipid peroxidation, cross-linking and fragmentation of membrane cytoskeletal proteins, binding of hemichrome and heinz body to the inner surface of the membrane, clustering of band-3 protein, loss of membrane free sulphydryl groups, incorporation of carbonyl content in the membrane protein etc [5,8,10,11,12,13,14,15,16,17]. Some of these changes have also been studied in vitro density separated or biotinylated aged erythrocytes and also in pathological red cells of accelerated ageing [1,2,4,18,19,20,21 ]. Many of these changes are seen in stored RBC in blood bank [22,23]. A possible reason for cumulative oxidative damage to the red cell membrane would be a reduction in the activity of oxidative defense enzymes like, superoxide dismutase (SOD), glutathione peroxidase, glutathione reductase etc [24,25 ]. Superoxide radicals (? 2 ) undergo dismutation reaction spontaneously (2 ? 2 + 2H + ?H 2 O 2 ) or catalyzed by SOD, produces H 2 O 2 ( 2? 2 + 2H + SOD ?H 2 O 2 ) [26]. Again, ? 2 and H 2 O 2 in presence of Fe 2+ / Cu + / Mn 2+ can produce more reactive ? H radical by Haber Weiss reaction ( ? 2 + H 2 O 2 Fe2+ / Cu+ / Mn2+ ? ? H +OH -). In biological system, simple salt of Fe 2+ / Cu + / Mn 2+ and H 2 O 2 can also produce ? H radical via Fenton reaction ( Fe 2+ +H 2 O 2 ---?Fe 3+ + ? H + OH -) [27] Fe 3+ to Fe 2+ may promote metal catalyzed Haber Weiss reaction, to produce more damaging ?H radicals [28,29]. Hence, Ascorbate has dual role -anti oxidant and pro-oxidant, where latter is exhibited in presence of transition metals [27,30,31,32,33]. Again, it has been shown that membrane of high density red cell is highly susceptible to peroxidative damage exclusively to poly unsaturated fatty acids of membrane in a chain reaction [27,5,34,35,36,15]. The signals that trigger the removal of aged erythrocytes and the actual mechanisms of such removal, i.e. elucidation of link between oxidative membrane damage and removal of aged cells from circulation are still controversial. However it has been suggested that recognition and removal of aged, infected or damaged RBC involve multiple pathways; mainly antibody independent phagocytosis, antibody dependent phagocytosis and removal by splenic sinuses [37]. In antibody independent removal, oxidatively damaged erythrocytes are phagocytosed by macrophages through scavenger receptors for low density lipo protein (LDL) in absence of opsonizing antibodies [38,39]. In antibody dependent removal of aged RBC, auto antibodies ( anti band-3, antigalactosyl antibodies or antibodies to malonaldehyde-protein adduct) bind to the surface of aged RBCs leading to phagocytic removal of aged, oxidatively damaged and pathologically damaged red cells by macrophages [ 40,41,42,2,7,43,37,23]. But the nature of such antibodies has been subjected to debate [40,41,42,37,18,2 ].
It has been proposed that impaired deformability provides a major route of the destruction of senescent red cells [44,45]. Poor deformability or increased rigidity due to oxidatively modified red cells as well as aged RBC membrane proteins and lipids retard the red cells' movement in the spleen and they may be entrapped in splenic sinuses for destruction [ 14,18,46,47 ].
It was clear that although oxidative damage to RBC membrane protein and lipid play key role in the mechanism of senescence of erythrocyte; but there were important lacunae in our present state of knowledge. This investigation led to fill up that lacunae and which in the long run might lead to identification of suitable agents to prolong the survival of endogenous or transfused RBCs in the circulation.
The specific objectives of this work were-a) study of various oxidative modifications of human erythrocyte membrane lipids and proteins exposed in vitro to physiologically relevant oxidizing system like iron and ascorbate. b) study of effects of free radicals and metal chelators on the above system. c) to investigate if oxidative damage to RBC membrane like increased carbonylation led to enhanced binding of immunoglobulins (IgG) to cell surface. d) to study whether the oxidative damage to RBC membrane observed in vitro were also present in aged erythrocytes obtained from the circulation by density gradient method.
III.
Blood obtained from healthy human male and female volunteers of age group 20 to 50 years was collected in 3.2% sodium citrate solution. Institute's research ethical committee approval was obtained. All the healthy blood donors were informed the purpose of the study prior to drawing of blood.
Percoll, Alpha cellulose, Microcrystalline cellulose, Catalase, Superoxide dismutase (SOD), Diethylene triamine penta acetic acid (DETAPAC), Butylated hydroxy toluene (BHT), Bovine serum albumin (BSA), Polyvinyl difluride (PVDF) membranes, Alkaline phosphatase conjugated goat anti rabbit IgG, Polyclonal anti-DNP antibody, 4-(2-hydroxy ethyl)-1-piperazine ethane sulphonic acid (HEPES), Phenyl methyl sulphonyl fluoride (PMSF), Tween20( Polyoxyethylene sorbitan mono laurate, Sigma ultra) and Ferritin (Type1: from horse spleen) were purchased from Sigma Chemical Co., USA., Biogel P-6 were obtained from Bio Rad, USA., 5-bromo-4 chloro-3-indolyl-phosphate/ nitro blue tetrazolium (BCIP/NBT), Tetra methyl benzidine (TMB), Protein-A-horse radish peroxidase conjugate, protein -A-agarose column and Human IgG purification kit were obtained from Bangalore Geni Pvt. Ltd., India. Thiobarbituric acid (TBA), Trichloro acetic acid (TCA) were from E.Merck, Germany. 2-Deoxy ribose (DR), Mannitol, Dimethyl sulphoxide (DMSO), L-Ascorbic acid, 2,4-dinitrophenyl hydrazine (DNPH) and all chemicals for Sodium dodecyl sulphate-polyacrylamide gel electrophoresis (SDS-PAGE) were purchased from Sisco Research Laboratory, Mumbai, India. All other chemicals used were of analytical grade.
Human blood collected in 3.2% sodium citrate solution made free from WBC and Platelets by passing through a column bed of microcrystalline cellulose and alpha cellulose (1:3) as adopted from Beutler et al (1975) [48]. . Briefly, microcrystalline cellulose ( mean size 50?m,Sigma cell-50) and ?-cellulose were taken in 1:3 ratio by weight and suspended in phosphate buffered saline (PBS), pH 7.4 and packed in a 10 ml plastic syringe with an inner diameter of 1.5 cm, so that 5ml column was 1.5 cm by 5 cm. The packed column was washed with PBS, pH 7.4. The blood (approx 5 ml) was centrifuged at 1,000 x g for 5 min and the supernatant plasma was removed along with the buffy coat. The packed red blood cells were poured over the cellulose column and washed down with ice cold isotonic PBS, pH 7.4. The eluate was collected (approx. 40-50 ml for 5 ml of blood) and centrifuged at 1,000 x g for 10 min to obtain the erythrocyte pellet. The erythrocytes were routinely recovered from the column up to 80% and the preparations were practically free of leucocytes (> 99.5%) and platelets (> 95%) as verified microscopically. The erythrocyte ghosts were prepared by hypotonic lysis [49]. The pelleted erythrocytes were lysed in 60 volumes of 5 mM sodium phosphate buffer, pH 8.0 followed by centrifugation at 20,000 x g to obtain haemoglobin free white ghosts. The creamy white ghosts were suspended in 50 mM phosphate buffer, pH 7.4 and kept frozen at -20ºC for subsequent experiments.
Protein content of erythrocyte membrane ghosts was estimated by the method of Lowry et al (1951) [50] after solubilizing in 1% SDS and using BSA as standard. c) 2-Deoxy ribose (DR) degradation assay Hydroxyl radical generation in the incubated mixture of ascorbate and/or Fe 2+ has been measured by DR degradation assay [51]. The reaction mixture in 50 mM phosphate buffer, pH 7.4 contained 1mM DR, 0.5 mM ascorbate, 0.2 mM FeSO 4 or 5.6 ?M Ferritin with or without other additions like mannitol (20mM) or 20 mM DMSO in a total volume of 600 ?l. Incubation was terminated after 1 h by addition of 1.4ml of 2.8% TCA to each tube followed by addition of 0.6ml of 1% (w/v) TBA. Then all the tubes were heated for 10 min in a boiling water bath. The tubes were cooled briefly and absorbance taken at 532 nm.
Freshly prepared erythrocyte ghosts with Fe 2+ (0.2mM) and ascorbate (0.5mM) were incubated at 37ºC for 2 h with or without other additions. Incubation was terminated by addition of electrophoresis sample buffer containing 3% SDS, and 5% ?-mercapto ethanol followed by heating in boiling water bath for 3 min. The samples were immediately applied for discontinuous SDS-PAGE in reducing condition using 10% separating gel following the method of Laemmli (1970) [52]. Slab gels were stained with coomassie brilliant blue-R and destained in 5% methanol & 7.5% glacial acetic acid mixture.
Lipid peroxidation in incubated ghosts was estimated by measuring the production of malonaldehyde (MDA) as described by Ohkawa et al (1979) [53,51]. Erythrocyte ghosts incubated with or without ascorbate (0.5mM) and /Fe 2+ (0.2mM) at 37ºC up to 2 h with other additions like 0.5 mM BHT, mannitol (20mM) , DMSO (20mM) or catalase ( 50 ?g/ml) in a total volume of 200 ?l. To each 200 ?l of incubation mixture were added 100 ?l of 8.0% SDS, 750 ?l of 20% acetic acid (pH 3.5) and 750 ?l of 8.0% aqueous TBA. The samples were heated at 100ºC for 15 min. The tubes were briefly cooled and 2.5 ml of a mixture of nbutanol and pyridine (15:1, v/v ) was added to each tube and vortexed thoroughly. The samples were centrifuged at 4,000 r.p.m. for 10 min. The organic layer was collected and absorbance measured at 532 nm. Amount of MDA was expressed in n moles/mg protein using a molar extinction co-efficient of 1.56 x 10 5 M -1. cm -1 [54].
Erythrocyte ghosts were incubated with or without ascorbate (0.5mM) and Fe 2+ (0.2mM) at 37ºC up to 2 h with other additions in a total volume of 200 ?l.
To each tube was added 500 ?l of TCA followed by centrifugation at 3,000 r.p.m. to obtain a precipitate. To each precipitate 500 ?l of 10 mM DNPH in 2 M HCl was added. The tubes were allowed to stand at room temperature for 10 min with occasional vortexing. Then to each sample 500 ?l of 10% TCA was added followed by vortexing and centrifugation at 10,000 x g for 5 min. The supernatant was discarded and the pellet was washed 3 times with 1ml ethanol-ethyl acetate mixture (1:1) to remove excess reagent. Precipitated protein as pellet was solubilized in 1ml protein dissolving solution containing 2% SDS, 0.05% EDTA in 0.8 M sodium phosphate buffer, pH 8.0. Appropriate sample and reagent blanks were kept for this assay. Absorbance was taken at 370 nm and the carbonyl content of each sample was calculated using a molar absorption coefficient of 22,000 M -1 .cm -1 and the results were expressed in terms of n moles/mg protein [55,56,57,58].
Erythrocyte ghosts, in presence or absence of ascorbate (0.5 mM ) and Fe 2+ ( 0.2mM ) with other additions were incubated for 2 h at 37ºC in 50 mM phosphate buffer, pH 7.4 in a total volume of 200 ?l. At the end of the incubation, erythrocyte membrane proteins were solubilized by the addition of 1 ml of protein dissolving solution containing 2% SDS, 0.05% EDTA in 0.8 M sodium phosphate buffer, pH 8.0. To each sample 50 ?l of DTNB solution (40mg DTNB in 10 ml of 0.1 M sodium phosphate buffer, pH 8.0) was added. A set of reagent blanks were made and absorbance taken at 412 nm after 15 min, The thiol content was estimated using a molar absorption coof thiols/mg of protein [13,57 ]. containing IgG was passed through a Bio-gel P-6 column equilibrated in PBS, pH 7.4. IgG was stored in aliquots in presence of 0.1% sodium azide at 4ºC.
Erythrocyte ghosts were incubated with or without Fe 2+ (0.2 mM) /ascorbate (0.5mM) in presence or absence of mannitol (20 mM), DMSO (20 mM) or catalase (50 ?g/ml). After the incubation at 37ºC for 2h the red cell ghosts were pelleted down. The supernatant from each tube was aspirated and the pellet suspended in PBS, pH 7.4 containing 1% BSA. Samples (100 ?l) of red cell ghost suspension (control, oxidized and oxidized with inhibitors) were taken in micro centrifuge tubes pre-coated with 1% BSA. To each tube was added 100 ?l of IgG in PBS -1% BSA and the tubes were left overnight at 4ºC for IgG binding. Appropriate blanks (without membrane suspension) and negative controls (without added IgG) were kept. After the incubation, to each tube was added 0.8 ml of PBS-0.2% BSA followed by centrifugation at 10,000 x g for 10 min. The supernatant was removed and the pellet was washed twice with 1 ml of PBS-0.2% BSA. 100 ?l of protein-A-HRP conjugate (diluted 1:10,000) was added to each tube and kept at 4ºC for 1 h followed by centrifugation at 10,000 x g for 10 min after addition of 0.8 ml of PBS-0.2% BSA. The pellet was washed twice with PBS-0.2% BSA to remove completely the excess unbound Protein-A-HRP. Subsequently, 100 ?l of the substrate solution TMB/H 2 O 2 was added to each tube and mixed thoroughly. The tubes were kept in dark for 30 min during which a blue colour was developed. The reaction was stopped by addition of 200 ?l of 2 M H 2 SO 4 which also changed the colour of the reaction mixture from blue to yellow. The absorbance was taken at 450 nm. The absorbance of the blank and the appropriate negative control were subtracted from the absorbance of each test sample. The net absorbance of each test sample was a measure of IgG bound to red cell ghosts. IgG bound to oxidized ghosts with or without inhibitors was expressed as ratio to IgG bound to control unoxidized ghosts after appropriate corrections for differences in protein content in individual samples [13,43].
Human erythrocyte ghosts obtained were suspended in a solution containing 1 mM EDTA, 5 mM ?-mercapto ethanol, 0.03 mM PMSF, which was adjusted to pH 7.5 with 1 M NaOH and stirred gently for 18 h at 4ºC. The membranes were recovered by centrifugation at 1,00,000 x g for 1 h and re suspended in 50 mM sodium phosphate buffer, pH 7.4. The membrane pellet was subjected to SDS-PAGE as described earlier. The protein visible in the gel was predominantly band-3 and this alkali treated pellet was used as partially purified band-3 protein. Autologous IgG (1,5 mg/ml) was mixed with an equal volume of suspension of partially purified band-3 protein (alkali treated erythrocyte pellet, protein content 2 mg/ml) and kept at 4ºC for 2 h followed by centrifugation at 1,00,000 x g for ½ h. The supernatant recovered was used as autologous IgG, depleted of anti band -3 antibodies (IgG -depleted) and used for IgG binding assay [43].
Young and aged erythrocyte of human were isolated by isopyenic centrifugation through gradient of "Percoll", a commercially available polyvinyl-pyrrolidonecoated colloidal silica following the method of Rennie et al (1979) [59]. A continuous density gradient of "Percoll" (0-100%) was prepared with the help of a gradient maker and a peristaltic pump and using two stock solutions: one containing 5.263% BSA in water and another containing 5.263% BSA (w/v) in percoll. 19 volumes of each of these solutions were separately mixed with 1 volume of solution (final pH 7.4) containing 2.66 M NaCl, 0.09 M KCl and 200 mM HEPES, pH 8.5. Thus, resultant mixtures were isotonic containing 5% BSA. 0.8 ml of red cell suspension was brought to room temperature and carefully layered on the top of the continuous percoll gradient (8 ml). Age fractionation of red cell was achieved by centrifugation at 1,100 x g for 9 min at room temperature followed by slow deceleration of the rotor. The cell fractions were then sequentially aspirated from the top of the gradient using a Pasteur pipette attached to the peristaltic pump. Top 20% of the fractionated cells were taken as young cells and bottom 20% of the cells used as aged red cells. The cells were finally washed to free percoll by 3 washes in PBS, pH 7.4 [59]. l) After preparation of young and aged erythrocyte membrane, protein carbonyl content, free thiol groups, protein cross-linking etc were measured by previously mentioned methods.
m) Immunoblot analysis for protein carbonyls in young and aged erythrocyte membrane ghosts
Freshly prepared young and aged erythrocyte membrane ghosts were taken in two separate tubes each containing 100 ?l of RBC membrane ghosts and to each of them was added 50 ?l of 18% SDS to solubilized the protein followed by addition of 200 ?l 20 mM DNPH in 10% TFA. A yellow colour was developed after incubating each mixture for 10 min. The samples were then neutralized to orange red colour by slow addition of 2 M Tris in 30% glycerol and 19% ?-mercapto ethanol. The samples were subjected to SDS-PAGE followed by electroblotting in a semi dry electroblotter unit, using a constant current of 2 m.A./cm 2 for 45 min. The transfer of proteins to PVDF membrane was confirmed by staining one portion of the blotted
1 Volume XIV Issue VII Version I ( D D D D )Year 2014 C containing1% BSA and kept for 2 h for blocking the nonspecific sites. The blocked membrane was incubated at 37ºC with shaking in presence of anti-DNP antibody (diluted 1:1000) for 1 h. After the incubation, the PVDF membrane was washed in a washing solution containing 0.1% (v/v) Tween-20 in PBS followed by further incubation for 1 h with alkaline phosphatase conjugated goat anti rabbit IgG. The bands in the PVDF membrane were detected by the addition of BCIP/NBT [55,32].
The young and aged red cells were washed thoroughly in PBS followed by preparation of corresponding membrane ghosts as described earlier.
Membranes of young and aged erythrocytes were taken in separate microcentrifuge tubes pre-coated with 1% BSA. To each tube was added autologous IgG in PBS-1% BSA and the tubes were left overnight at 4ºC for IgG binding. Bound IgG was quantitated as mentioned earlier. IgG bound to aged RBC membrane ghosts was expressed as a ratio of IgG bound to control young RBC membrane ghosts [43].
All experiments were checked for reproducibility and statistical significance worked out. All the values in Tables and Charts of result section were presented as mean ± standard error of mean (SEM). Significance of difference between groups were determined following Students't' test for paired and unpaired observations [60].
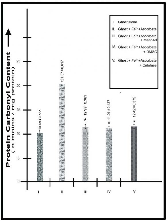
IV. ascor bate (0.5 mM) for 2 h at 37ºC. d) A significant increase in protein carbonyl content in red cell membrane ghosts exposed to iron and ascorbate for a period of 2 h was observed (Fig- 2).
The phenomenon was inhibited by hydroxyl radical scavengers like mannitol, DMSO and also by antioxidant enzyme, catalase (Fig- 2). The inhibition was statistically significant. e) When erythrocyte ghosts (protein content 0.6 to1.0 mg/ml) were incubated with Fe 2+ (0.2 mM) and ascorbate (0.5 mM) at 37ºC , MDA produced per mg protein per 2 h were significantly higher with respect to control erythrocyte ghosts. Lipid peroxidation was significantly inhibited ( about 90%) by 0.5 mM of BHT, while mannitol (20 mM ), DMSO (20 mM ) and catalase (50 ?g/ml ) did not inhibit MDA production (Table-3). f) g) In order to elucidate the link between oxidative stress and enhanced IgG binding to red cell ghosts several radical scavengers and antioxidant enzymes were used in the binding assay. Table-5 showed that catalase and hydroxyl radical scavengers like mannitol (20 mM) and DMSO (20 mM) prevented significantly enhanced binding of autologous IgG to oxidized erythrocyte ghosts. h) The parameters of oxidative stress were then measured in density separated erythrocytes in a percoll gradient. There was a statistically significant rise (1.5 fold) in protein carbonyl content in aged RBC membrane ghosts with respect to young red cell membrane ghosts (Fig- 3).
(1971) [49]. Incubation of erythrocyte membranes with Fe 2+ (0.2 mM) and ascorbate (0.5 mM) did not however produce any cross-linking or protein fragmentation (Lane-b, c & d).
i) Immunoblot analysis of young and aged erythrocyte ghosts using anti-DNP antibody also showed increased carbonylation of proteins in aged erythrocyte membrane (Fig- 4).
blotted membrane was incubated with PBS enzyme catalase (50 ?g/ml) upto 58.9%. Again, it
Table-4 showed that a very significant increase (about 4 fold) in the binding of auto logous IgG occurred in oxidized ghosts compared to control. The binding of auto logous IgG to ghosts was quantitated by an immunoassay using Protein-A-HRP conjugate and TMB (substrate). Since it was difficult to estimate the number of IgG molecules bound per ghost cell, the net absorbance at 450 nm for each sample normalized to a protein concentration of 1 mg/ml was calculated and taken as a measure of bound IgG. The net absorbance for each sample was derived by subtracting from the total absorbance, the values for the blank and the appropriate negative control (ghost incubated without IgG). This increased binding of oxidized ghosts was however not seen when anti-band-3 depleted IgG was used for binding assay.
membrane after it was dried. The other half of the j) Fig- 5 showed that there was no significant decrease in protein thiol content in aged RBC membrane ghosts compared to young RBC membrane ghosts. k) SDS-PAGE of young and aged erythrocyte ghosts showed that there was no such remarkable difference in the band pattern of membrane proteins (Fig- 6), and especially no cross-linked high molecular weight proteins or evidence of protein fragmentation was apparent in aged erythrocyte. l) As presented in Table-6, autologous IgG binding to aged erythrocyte ghosts was more than 2.5 fold higher than that of young erythrocyte ghosts, when incubation was carried out with IgG concentration of 1 mg/ml. Raising IgG concentration to 2.5 mg/ml, IgG binding to aged red cell ghosts was about 3.7 times more than that of young erythrocyte ghosts.
V.
Erythrocyte membrane encounters oxidative stress both from cell interior and exterior [3]. Different investigators have studied red cell membrane alterations by subjecting intact RBC or RBC membrane ghosts to different oxidizing systems like ascorbic acid and iron /copper, H 2 O 2 /iron, ADP/Fe 3+ , phenyl hydrazine, xanthine / xanthine oxidase etc have been reported [47,31,10,43,11,8 ]. Many of these changes have also been noticed in aged red cells [1, 2, 3, 14, 15 ] or in damaged RBCs undergoing accelerated senescence in some pathological conditions [19,4,6,21,15,16 ] or in stored RBC in blood bank [22,23 ].
In this study, mixture of ascorbic acid and iron (Fe 2+ ) has been used to induce oxidative stress, because both these components are physiologically relevant in the context of oxidative injury to erythrocytes in vivo. Several discrete iron compartments in red cell have been suggested [21]. This iron is bioactive and can valance-cycle between Fe 3+ and Fe 2+ states is capable of generating hydroxyl radicals [31,33,27,29]. Reducing agents like ascorbate can potentiate this mechanism and thereby promote the formation of hydroxyl radicals via Fenton's mechanism [30,29]. The elaborate transport and recycling of ascorbate by red blood cells in vivo have been highlighted by many investigators [28,33].
Results from Table-1 indicate that a mixture of ascorbate and iron (Fe 2+ ) is an active source of hydroxyl radicals generated by Fenton's reaction as evident from the inhibition of 2-deoyribose degradation by catalase and hydroxyl radical scavengers like mannitol and DMSO. The oxidation of Fe 2+ to Fe 3+ produces ? 2 radicals, which by dismutation produces H 2 O 2 . H 2 O 2 produce H 2 O 2 [33]. This autoxidation of ascorbate is ? 2 mediated and metal dependent as evident from its inhibition by SOD and DETAPAC [33]. The fact that ascorbate can interact with ferritin to generate ?H radicals as shown in Table-1 implies that a similar reaction between ascorbate and native or denatured haemoprotein in red cells may also lead to the formation of toxic reactive oxygen species(ROS).
ROS can induce various forms of protein damage such as cross-linking of polypeptide chains, oxidation of protein thiol (-SH) groups, incorporation of carbonyl groups into protein etc had been reported [57,43,55,22]. In hydroxyl radical generating system like iron/ascorbate, we have examined some of these modifications which are considered as hallmark for oxidative modification [55,57,32]. Under our experimental conditions protein cross-linking or fragmentation were not observed (Fig- 1). Some earlier studies however, showed cross-linking of isolated cytoskeletal proteins of erythrocyte membrane when incubated for prolonged time with haemoglobin /H 2 O 2 [46] or with xanthine/ xanthine oxidase [11] etc.
Oxygen free radicals also cause aggregation of proteins, converting the side chains of cysteine, methionine, histidine and tyrosine and form disulphide bonds as the consequence of oxidation of free thiol groups [13,22]. The present results showed no significant decrease in protein thiol content, which was in conformity with the result of Beppu et al (1990) [43]. Beppu et al (1989) also observed from their result of SDS-PAGE of RBC membrane proteins in reducing condition no significant cross-linking of RBC membrane protein exposed to oxidative stress with respect to control ghosts [13] which was in conformity of our result (Fig- 1). However, it has been observed by the same observers that SDS-PAGE of RBC membrane proteins in non-reducing condition formed disulphide bond and cross-linking of protein during oxidative stress [13,43].
The metal catalyzed oxidation of proteins can introduce carbonyl group at lysine, arginine, proline and threonine residues in a 'site-specific' manner [61]. Free radical damage to amino acid residues and/or reaction with aldehydes or both derived from lipid peroxides could contribute towards generation of protein carbonyl [61]. The carbonyl bearing residues have not been completely identified but gamma-glutamyl semialdehyde appeared to be the major residue [55]. In different purified and crude extracts of protein several workers have reported changes in carbonyl content as a consequence of oxidative modification [55, 62.57 ], but on erythrocyte membranes such reports are scanty. The results obtained from this study (Fig- 2 further reacts with Fe 2+ to give rise to ?H radicals by Fenton's mechanism [31,26,33]. Ascorbate potentiates the reaction by reductive cycling of iron from Fe 3+ to Fe 2+ [29]. Further ascorbate undergoes autoxidation to ascorbate induced oxidative stress to RBC membranes caused a significant rise in red cell membrane protein carbonyl content which was inhibited by catalase and hydroxyl radical scavengers-mannitol, and DMSO (Fig- 2) which indicated that the increase in protein carbonyl content was mediated by hydroxyl radical attack.
In crude tissue preparation increased carbonyl content as a result of oxidant stress may also be secondary to associated lipid peroxidation [57]. During lipid peroxidation, lipid peroxide or hydroperoxide or peroxyl radicals are formed [27]. These preformed lipid peroxidation products which broke down to yet more radical species by reacting with transition metal like iron [27] in turn caused oxidative damage to membrane proteins [57]. This type of damage could not be inhibited by ?H radical scavengers like mannitol, DMSO or anti oxidant enzyme catalase; but lipid soluble chain breaking antioxidants like ?-tocopherol and BHT were effective [57]. In this study however, protein carbonylation has been inhibited significantly by hydroxyl radical scavengers like mannitol, DMSO and catalase (Fig- 2); but lipid peroxidation of RBC membrane was not inhibitible by these agents (Table -3). This implied that in this system protein oxidation was not secondary to lipid peroxidative damage. The enhanced production of MDA in red cell membranes by Fe 2+ and ascorbate during in vitro incubation was presumably the result of breakdown of pre-formed lipid peroxides or hydro peroxides by Fe 2+ (Table -3). Ascorbate potentiated such iron catalyzed break down of peroxides and hydro peroxides keeping the iron in the reduced (Fe 2+ ) state [57]. That has been observed in other systems also [27,5,10,53]. However, the consequence of such peroxidative damage to membrane was controversial [8,34].
Autologous IgG binding to red cell surface has been studied by many investigators [40,18,42], but there were several controversies regarding the binding site and antigenic specificity of bound autologous antibody [37,18,42]. The signal that led to enhanced IgG binding to red cell surface also were controversial.
[3]. Clustering of band-3 protein or proteolytic cleavage of band-3 have been suggested by different workers as trigger for enhanced IgG binding to RBC membrane [40,18,41,23,62]. Beppu et al (1990) [43] and later on other scientist [7] have shown that in vitro enhanced binding of autologous Ig G to red cell surface occured following an oxidant stress. We have tried to confirm that finding. Our results confirmed that increased binding of anti band-3 immunoglobulins to red cell surface following an oxidative stress by iron and ascorbate . However that was prevented by hydroxyl radical scavengers like mannitol, DMSO and anti oxidant enzyme catalase (Table-5).
Results presented in Fig- 1 indicated that oxidant stress to red cell ghosts under our experimental conditions did not lead to protein cross-linking binding of autologous IgG to red cell surface following an oxidative stress . That obviously implied that the two phenomena were inter-related.It was presumable that the bound IgG in our in vitro assay systems were auto antibodies generated earlier in vivo against oxidatively modified proteins with increased carbonylation.
Various types of membrane alterations have been reported to aged red cells, which were linked to oxidative damage [2,3,18,19]. In the present study increased carbonyl content to aged RBC membrane, observed both in spectrophotometric and immunedetection assay system (Fig- 3, Fig- 4) with respect to that of young red cell membrane ghosts represented that the aged red cells have been subjected to oxidative stress in vivo which had been considered as the hall mark of oxidative protein damage [55]. That result seemed interesting, as no such information was available in aged erythrocytes except for an isolated study on stored RBC in blood bank [22]. Again, we have observed no significant alteration in membrane protein thiol content of aged red cells compared to young cells (Fig- 5). That was in conformity with our in vitro result, where oxidative stress and ascorbate failed to cause measurable change in protein thiol content of RBC membrane ghosts after incubation up to 2 h (Table-2). Our result [63].
Increased binding of autologous IgG to aged red cell membrane have been well documented [40,18,37], although disputes were there regarding precise nature of the auto-antibodies binding to RBC surface [37]. Our results have confirmed this (Table -6 Table-2). On the other hand ?H radical scavengers like mannitol, DMSO and anti oxidant enzyme catalase prevented both the increased incorporation of carbonyl groups to membrane protein (Fig- 2) and enhanced in our study supported the observation of Kannan et al (1991) [64] and the result was also consistent with elevated IgG binding seen in red cells of other species like mouse, dog etc, using different methods for No cross-linking or polymerization of red cell membrane polypeptides were noticed in reducing condition discontinuous SDS-PAGE pattern of aged red cell membranes in comparison to young red cell membranes (Fig- 6). These results were also in accordance with the in vitro data where oxidant treatment of RBC membrane ghosts failed to produce any cross-linking or fragmentation of proteins (Fig- 1). However Rettig et al (1999) [2] have reported a covalent, non-reducible, non disulphide cross-linking of globin subunits of denatured haemoglobin with membrane at the end of the RBC's life span. Our failure to observe any cross-linking of membrane proteins in SDS-PAGE of aged erythrocytes membrane might be related to running the electrophoresis of aged RBC membrane ghosts in reducing condition [13] or species difference or method of isolation of aged red cells. by Fe 2+ was in agreement with the result of Piccinini et al (1995) separating aged red cells from young red cells [65,2].
Since oxidant stress in vitro led to enhanced binding of autologous IgG to red cell surface (Table-4), it might be implicated that the increased binding of autoantibodies to aged erythrocyte membrane was the result of oxidative injury to red cell membrane during in vivo ageing. This had also been suggested by Beppu et al (1990) [43] and Fujino et al (2000) [7]. The nature of the auto antibody binding to aged red cells have not been elucidated in our study. However, since increase in lipid peroxidation products followed by increased damage of RBC membrane protein as increased carbonyl group incorporation was the only noticeable change in the membrane proteins of aged erythrocytes compared to that of control young erythrocyte, it would be tempting to speculate that auto-antibodies had been directed against such altered membrane proteins. The antibody dependent phagocytosis of red cells had been considered as an important mechanism of removal of old and damaged red cells from the circulation [40,18,2,7 ]. The oxidative modification of membrane protein during ageing of erythrocytes was therefore, directly linked with the subsequent removal of those cells from circulation.
From the results and discussion of our study, it can be concluded that in vitro oxidant stress to red blood cell ghosts by iron and ascorbate, led to increased lipid peroxidation products followed by enhanced damage to RBC membrane protein, caused increased membrane protein carbonylation; presumably mediated by hydroxyl radicals and that phenomenon was directly linked to enhanced binding of autologous IgG to oxidized ghosts under similar condition of incubation. It was presumable that bound autologous immunoglobulins to oxidized red blood cell membranes represented auto-antibodies generated in vivo against carbonylated proteins. Further, in vivo senescence of red cells was associated with increased membrane protein carbonylation and enhanced binding of autologous IgG to red cell surface. Since removal of aged red cells from the circulation in large measure depended upon antibody dependent phagocytosis of red cells by macrophages, our results indirectly pointed out that oxidative stress induced modification of RBC membrane carbonylated proteins triggered the latter mechanism for removal of RBC by subsequent formation of auto-antibodies.
Incubation of erythrocyte ghosts was carried out at 37ºC for 2 h in phosphate buffer (50 mM, pH 7.4) with or without addition of FeSO 4 (0.2 mM) and ascorbate (0.5 mM) in presence or absence of other additions like BHT (0.5 mM), mannitol (20 mM), DMSO (20 mM) or catalase (50 ?g/ml) followed by measurement of lipid peroxidation as described in the methods. Results presented were the mean ± SEM of 5 observations (N=5), followed by Student's 't' test (paired). Value marked '*' indicated significant rise of lipid peroxidation with respect to control (erythrocyte ghosts incubated alone with buffer). *p < 0.001. Value marked ' ?' showed significant inhibition by BHT. ? p < 0.001. Value marked '#' showed no significant inhibition when compared with the value marked '*'.
Erythrocyte ghosts incubated with or without FeSO 4 (0.2 mM) and ascorbate (0.5 mM) for 2 h at 37ºC and binding of unfractionated autologous IgG (1mg/ml) and anti band-3 depleted autologous IgG (0.8 mg/ml) were measured as described in the methods. Results presented were mean ± SEM of 6 observations (N=6).







| catalase ? 2H 2 O + | ||
| O 2 ) or by the action of selenium dependent | ||
| glutathione | peroxidase | (H 2 O 2 + 2GSH glutathione |
| 1 showed that the |
| mixture of Fe 2+ (0.2 mM) and ascorbate (0.5 mM) |
| produced hydroxyl radicals by Fenton reaction as |
| shown by 2-deoxyribose (DR) degradation assay. |
| The phenomenon was inhibited by hydroxyl radical |
| scavenger like mannitol (20mM) upto 62.4% and |
| DMSO (20 mM) up to 77.4% or by antioxidant |
| was also observed that ferritin (5.6 ?M) can also |
| produce ?H radical when incubated with 0.5 mM |
| ascorbate (Table-1). Hence iron and ascorbate were |
| physiologically relevant to erythrocyte in vivo and |
| mixture of these components was used as a model |
| system to oxidative stress in vitro. |
| b) Fig-1 showed that SDS-PAGE analysis of |
| membrane proteins of erythrocyte ghosts incubated |
| with Fe |
| 1. Suzuki T., Dale G.L., Membrane proteins in | ||||
| senescent erythrocyte. Biochem. J., 1989, 257, | ||||
| 37-41. | ||||
| 2. Rettig M.P., Low P.S., Gimm J.A., Mohandas N., | ||||
| Wang J., Christian J.A., Evaluation of biochemical | ||||
| changes during in vivo erythrocyte senescence in | ||||
| dog. Blood, 1999, 93, 376-384. | ||||
| 3. Clark M.R., Senescence of red blood cells: Progress | ||||
| and problems. Physiol. Rev., 1988, 68, 503-554. | ||||
| 4. Sauberman N., Fortier N.L., Joshi W., Piotrowski J., | ||||
| Snyder M., Spectrin-haemoglobin cross-linkages | ||||
| associated with in vitro oxidant hypersensitivity in | ||||
| pathologic and artificially dehydrated red cells. Br. J. | ||||
| Haematol., 1983, 54, 15-28. | ||||
| 5. Rice-Evans C., Hochstein P., Alterations in | ||||
| erythrocyte membrane fluidity by phenyl hydrazine | ||||
| Res. Commun., 1981, 100, 1537-1542. | ||||
| 6. Hebbel R.P., Eaton J.W., Balasingam M., Steinberg | ||||
| M. H., Spontaneous oxygen radical generation by | ||||
| sickle erythrocytes. J. Clin. Invest., 1982, 70, | ||||
| 1253-1259. | ||||
| 7. Fujino T., Ando K., Beppu M., Kikugawa K., | ||||
| Enzymatic removal of oxidized protein aggregates | ||||
| from erythrocyte membranes. J. Biochem., 2000, | ||||
| 127, 1081-1086. | ||||
| 8. Celedon G., Rodriguez I., Espana J., Escobar J., | ||||
| Lissi E., Contribution of haemoglobin and | ||||
| membrane constituents modification to human | ||||
| erythrocyte damage promoted by peroxyl radicals of | ||||
| different charge and hydrophobicity. Free. Radic. | ||||
| Res., 2001, 34, 17-31. | ||||
| 9. Takeshita M., Tamura M., Yubisui T., Yoneyama Y., | ||||
| Exponential decay of cytochrome b5 and | ||||
| cytochrome b5 reductase during senescence of | ||||
| erythrocytes: | relation | to | the | increased |
| methaemoglobin content. J. Biochem., 1983, 93, | ||||
| 931-934. | ||||
| 10. Chakrabarti S., Sonaye B., Naik A. A., Nadkarni P. | ||||
| P., Erythrocyte membrane protein damage by | ||||
| Year 2014 |
| 1 33 |
| Volume XIV Issue VII Version I |
| D D D D ) C |
| ( |
| Incubation mixture |
| Year | ||
| Volume XIV Issue VII Version I | ||
| ( ) | Incubation mixture | Autologous IgG binding |
| (ratio to control) | ||
| Oxidized ghost + Unfractionated IgG | 4.26 ± 0.175 | |
| Oxidized ghost + Anti band-3 depleted IgG | 0.98 ± 0.188 |
| Autologous IgG | |
| Incubation mixture | binding |
| (ratio to control) | |
| Oxidized ghost + IgG | 4.26 ± 0.176 |
| Catalase treated oxidized ghost + IgG | 0.85 ± 0.155 * |
| Mannitol treated oxidized ghost + IgG | 0.91 ±0.159 * |
| DMSO treated oxidized ghost + IgG | 0.85 ± 0.149 * |
| Year 2014 | |||
| 1 35 | |||
| Incubation mixture Aged RBC membrane ghost + IgG Aged RBC membrane ghost + IgG | Concentration of IgG 1 mg/ml 2.5 mg/ml | Autologous IgG binding (ratio to control) 2 .70 ± 0.174 ? 3.72 ± 0.183 * | Volume XIV Issue VII Version I D D D D ) C |
| ( |
Thanks to DST, New Delhi for financial assistance. We also acknowledge to the Calcutta University & Department of Biochemistry, University College of Medicine (IPGME & R, Kolkata), 244B, A.J.C. Bose Road, Kolkata-700 020, India, for their kind oxidation products of phenyl hydrazine. Biochem. Mol. Biol. Int., 1995, 35, 255-263. 11. Girotti A. W., Thomas J. P., Jordan J. E., Xanthine oxidase-catalyzed cross-linking of cell membrane proteins. Arch. Biochem. Biophys., 1986, 251, 639-653.
Conversion of amino acid residues in proteins and amino acid homopolymers to carbonyl derivatives by metal-catalyzed oxidation reactions. J. Biol. Chem 1989. 264 p. .
Reaction of protein sulfhydryl groups with Ellman's reagent. Methods. Enzymol 1972. 25 p. .
Formation of hydroxyl radicals from hydrogen peroxide in the presence of iron: Is haemoglobin a biological Fenton reagent?. Biochem. J 1998. 249 p. .
The internal viscosity of the human erythrocyte may determine its life span in vivo. Scand. J. Haematol 1980. 24 p. .
Ascorbate induced cross-linking of oxyhemoglobin sub units. Ind. J. Exp. Biol 2000. 38 p. .
Oxygen toxicity, oxygen radicals, transition metals and disease. Biochem. J., ! 984 p. .
Formation of thiobarbituric acid-reactive-substance from deoxyribose in the presence of iron salts: The role of superoxide and hydroxyl radicals. FEBS. Lett 1981. 128 p. .
Human erythrocyte fractionation in "percoll"density gradient. Clin. Chim. Acta 1979. 98 p. .
Differential carbonylation of cytoskeletal proteins in blood group O erythrocytes: potential role in protection against severe malaria. Infect. Genet. Evol 2012. 12 p. .
The removal of leukocytes and platelets from whole blood. J. Lab. Clin. Med 1975. 88 p. .
The interaction of bovine erythrocyte superoxide dismutase with hydrogen peroxide: inactivation of the enzyme. Biochemistry 1975. 14 p. .
Oxidative damage to human red cells induced by copper and iron complexes in the presence of ascorbate. Biochim. Biophys. Acta
Electrophoretic analysis of the major polypeptides of the human erythrocyte membrane. Biochemistry 1971. 10 p. .
Oxidation state of glutathione and membrane proteins in human red cells of different age. Mech. Ageing. Dev 1995. 78 p. .
Recognition of oxidatively damaged erythrocytes by a macrophage receptor with specificity for oxidized low density lipo protein. Proc. Natl. Acad. Sci. USA 1994. 91 p. .
Lipid peroxidation associated protein damage in rat brain crude synaptosomal fraction mediated by iron and ascorbate. Neurochem. Int 2001. 39 p. .
Age-related oxidative inactivation of Na+, K+-ATPase in rat brain crude synaptosomes. Exp. Gerentol 2003. 38 p. .
Membrane bound hemichrome in density separated cohorts of normal (AA) and sickled (SS) cells. J. Lab. Clin. Med 1982. 99 p. .
Naturally occurring auto antibodies in mediating clearance of senescent red blood cells. Adv. Exp. Med. Biol 2012. 750 p. .
Erythrocyte homeostasis: antibody mediated recognition of the senescent state by macrophages. Proc. Natl. Acad. Sci. USA 1986. 83 p. .
Protection and recycling of ?-tocopherol in human erythrocytes by intracellular ascorbic acid. Arch. Biochem. Biophys 1998. 349 p. .
Oxidative interactions between haemoglobin and membrane lipid: A liposome model. Biochem. J 1984. 220 p. .
Co-clustering of denatured hemoglobin with band-3: Its role in binding of auto antibodies against band 3 to abnormal and aged erythrocytes. Proc. Natl. Acad. Sci. USA 1986. 83 p. .
Glutathione metabolism in red cell ageing. Mech. Ageing. Dev 1985. 32 p. . (Increased protein 24)
Macrophage recognition of periodate-treated erythrocytes: Involvement of disulfide formation of the erythrocyte membrane protein. Biochim. Biophys. Acta 1989. 979 p. .
Binding of anti -band 3 autoantibody to oxidatively damaged erythrocytes. J. Biol. Chem 1990. 265 p. .
Localization of senescent cell antigen on band 3. Proc. Natl. Acad. Sci. USA, (Natl. Acad. Sci. USA) 1984. 81 p. .
Formation of hydroxyl radicals in the presence of ferritin and haemosiderin: Is haemosiderin formation a biological protective mechanism?. Biochem. J 1986. 234 p. .
Comparison of serum anti-band 3 and anti-gal antibody binding to density separated human red cells. Blood 1991. 1989. 77 p. .
Cross-linking of isolated cytoskeletal proteins with hemoglobin: A possible damage inflicted to the red cell membrane. Biochim. Biophys. Acta 1987. 915 p. .
Protein measurement with Folin phenol reagent. J. Biol. Chem 1951. 193 p. .
The molecular pathobiology of cell membrane iron:The sickle red cell as a model. Free. Radic. Biol. Med 1998. 24 p. .
Association of lipid peroxidation and polymerization of membrane proteins with erythrocyte ageing. Fed. Proc 1981. 40 p. .
carbonylation of red blood cell membrane in diabetic retinopathy. Exp. Mol.Pathol 2009. 87 p. .
Effect of hemoglobin oxidation products on the stability of red cell membrane skeletons and associations of skeletal proteins: correlation with a release of hemin. Blood 1990. 76 p. .
The role of haemoglobin denaturation and band-3 clustering in red blood cell ageing. Science 1985. 227 p. .
Reactions involving superoxide and normal and unstable oxidatively damaged red blood cells in mice. Blood 2000. 95 p. .
Oxidant status and lipid composition of erythrocyte membranes in patients with type 2 diabetes, chronic liver damage, and a combination of both pathologies. Oxid. Med. Cell. Longev 2013. 2013. p. .
The importance of erythrocyte deformability. Am. J. Med 1970. 49 p. .
Isolation and partial characterization of antibody and globin-enriched complexes from membranes of dense human erythrocytes. Biochem. J 1991. 278 p. .
Determination of carbonyl content in oxidatively modified proteins. Methods. Enzymol 1990. 186 p. .
Carbonyl assays for determination of oxidatively modified proteins. Methods. Enzymol 1994. 233 p. .
Lipid peroxidation in developing rat brain during undernutrition. Neurosci. Lett 1984. 48 p. .
Oxidation of human red blood cells by a free radical initiator: Effects on rheological properties. Clin. Hemorheol. Microcirc 2014. (In press)
Oxidative stress and Capase-mediated fragmentation of cytoplasmic domain of erythrocyte band 3 during blood storage. Blood Transfus 2012. 10 (2) p. .
A unique natural human IgG antibody with anti-?galactosyl specificity. J. Exp. Med 1984. 160 p. .
Protein and lipid oxidation of banked human erythrocytes: Role of glutathione. Free. Radic. Biol. Med 1999. 27 p. .
Scavenger receptors on liver Kupffer cells mediate the in vivo uptake of 53. Anal. Biochem 1979. 95 p. . (Assay for lipid peroxides in animal tissues by thiobarbituric acid reaction)
Recognition and elimination of senescent erythrocytes: Implication of antibodies specific for malonic dialdehyde-protein adducts, as demonstrated by flow cytometry. Biochem. Mol. Biol. Int 1994. 34 p. .