(
)2Where, A, a and t 0 are constants Results and Conclusion: From the application of sigmoid function to dynamic PET data, it is concluded that the N th and N max for tissue and tumor are identified with the parameter constants in the sigmoid function in eq.( 2) as;
(3)
And the calculated CBE factor values obtained from eq. ( 1), with N th /N max .
Keywords: boron neutron capture therapy, compound biological effectiveness, borono-phenyl-alanine, tumor, 10 B(n,?) 7 li, sigmoid function.
any types of pilot innovative accelerator-based neutron source for neutron capture therapy with lithium target were designed [1][2][3] and many inventions for the progressive power run-up were reported [4][5]. In Japan, implemented deployment of accelerator-driven neutron source for Boron Neutron Capture Therapy (BNCT) is accomplished in 2014 in National Cancer Center, of which system was designed with the production of neutrons via threshold 7 Li (p, n) 7 Be reaction at 25kW proton beam with energy of 2.5
MeV, which was designed to dovetail the narrow peak band resonance of lithium target and started its installation at middle of 2013. This BNCT device is expected to offer the potential for achieving the objects of which any treatment capable of sterilizing the primary tumor locally will result in a high probability of cure.
BNCT is a targeted radio-therapeutic modality used for the treatment of brain tumors and melanoma and a bimodal approach to cancer therapy. Before The CBE factors concerning to tumor, skin lung, liver [10][11], heart [12] and oral mucosal tissues [13] were reported and prospect of actually using BNCT for the patients has been developing under the right circumstances. However, there is no theoretical unified explanation of the CBE factors for normal tissues and tumor, despite significance of high precision of the CBE factor evaluation is requested for the patients.
Recently, the authors proposed deterministic parsing model of CBE factors (ISHIYAMA-IMAHORI model) and applied to human tumor brain cases and derived good results dovetailed with empirical facts [14] [15].
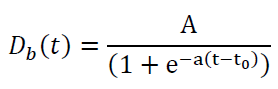
The purpose of the present investigation was to demonstrate the unified methodology for the evaluation of the CBE factors for normal tissues and tumor in BNCT. b) Mathematical analysis model for the 10 B concentration data After 1 0 BPA administration, boron atoms are ingested into the cell model consisted of endoplasm and cell nucleus and Imahori [17] reported the kinetic analysis for brain tumor patients by using three-compartment rate constant (K 1 , k 2 and k 3 ) (Figure 1). This model implied that the body injected 10 BPA begins to rapidly up-taken into cancer cell group at the injection initial and eventually suppressed increase with increasing 10 BPA-containing population. From these results, it is clear that very good data fitting curves of the logistic function to dynamic PET data were observed and each constant in eq. ( 1) are obtained in the tumor and normal tissue. These results are listed in the table (Table 1). To obtained threshold and saturation density of boron, N th and N max in tumor and normal tissue from eq.( 1), we defined N th and N max as follows:
(3) Table 3 : The Values of N th /N max and CBE factor defined by eq. ( 2) for tumor and normal tissue c) Application of the calculation method and its clinical significance The charm of the BNCT treatment is that again and again for the same patients and their affected area is capable of irradiation treatment. Therefore, the cure of intractable cancer in a short time by BNCT treatment is not a dream. However, BNCT treatment at this stage is time-consuming due to the following reasons. Normally, cancer patients are given low doses of intravenous radioactively-labelled 18F-BPA before BNCT and diagnosed cancer by Positron-Emission-Tomography (PET). Physicians developed a treatment plan by BNCT based on PET diagnosis and then after administrates high dose of BPA to the patients.
So practical value of present research is that the diagnosis and treatment cycle can be achieved at the same time shorten with high accuracy.
Present research results, ie by 18F-BPA drip injection administration and dynamic PET measurement method, ISHIYAMA-IMAHORI model immediately provides a high-precision CBE factor and BNCT treatment for a kind of cancer and its severity in patients individual.

![BNCT, Boron-10( 10 B)-enriched compounds are used to deliver 10 B to tumors. Once tumor uptake of a given boron delivery agent relative to the surrounding normal tissues and blood has been maximized and then irradiation with low-energy neutron takes place. An alternative boron delivery agent, p-borononphenylalaine (BPA) instead of administration of the boron delivery agent borocaptate sodium (BSH), is being used M demonstrate a specific method of how the application of Method: To determine the CBE factor, we derived the following new calculation formula founded on the deterministic parsing model with three constants, CBE 0 , F, n and the eigen value N th /N max . Volume XV Issue IV Version I Journals Inc. (US) Determination of the Compound Biological Effectiveness (CBE) Factors based on the ISHIYAMA-IMAHORI Deterministic Parsing Model with the Dynamic PET Technique together with mode deeply penetrating epithermal neutron beam [6]. BNCT was extensively reviewed in two recent articles [7][8] and the targeting effectiveness of BNCT is dependent upon the preferential delivery of 10 B to the primary tumor and its metastatic spread. In defining the biological effects of the 10 B(p,?) 7 Li neutron capture reaction relative to photons, the term compound biological effectiveness (CBE) factor was used as an alternative to RBE. Calculation of the CBE factor is similar to that of the RBE factor [9]. Equating the X-ray ED 50 dose with a BNC dose (beam + BSH) that gives the same end point of a 50% incident of ulceration produces the following equation: The CBE factor = [(X-rayED 50 ) -(thermal beam component of ED 50 ×RBE]/ 10 B(p,?) 7 Li component of ED 50 .](https://medicalresearchjournal.org/index.php/GJMR/article/download/991/version/100568/1-Determination-of-the-Compound_html/9543/image-3.png)
![concentration measurement of BPA by dynamic PET techniqueA brain tumor patient (grade IV) was given low dose (approximately~100?g/g) of intravenous radioactively-labeled 18 F-BPA before BNCT and diagnosed cancer by Positron-Emission-Tomography (PET)[16]. To obtain 10 B concentration in a body,18 F-BPA was administrated to the patient by intravenous drip injection and PET inspection was performed in every 20 minutes to measure a change in 10 B concentrations in tumor, normal and blood of the patient, respectively.](https://medicalresearchjournal.org/index.php/GJMR/article/download/991/version/100568/1-Determination-of-the-Compound_html/9544/image-4.png)


![Figure 3 : Change in 10 B concentration in blood, tumor and normal tissue measured by Dynamic PET technique These typical changes after 10 BPA administration indicate compatibility to define saturation boron concentration, N max and threshold of boron density, N th for the determination of CBE factors by ISHIYAMA-IMAHORI model [14][15] as below:](https://medicalresearchjournal.org/index.php/GJMR/article/download/991/version/100568/1-Determination-of-the-Compound_html/9547/image-7.png)



| Imahori; "In-situ vacuum deposition technique of | |||||||
| lithium on neutron production target for | |||||||
| BNCT", Nucl. Instrum. Meth. Phys. Res., | |||||||
| B288, 18-22 (2012a). | |||||||
| 5. Ishiyama S, Y. Baba, R. Fujii, M. Nakamura, Y. | |||||||
| Imahori; "Synthesis of lithium nitride for neutron | |||||||
| producton target of BNCT by in-situ lithium | |||||||
| deposition and ion implantation", Nucl. Instrum. | |||||||
| Year 2 015 | Meth. Tjarks; "Boron neutron capture therapy of | ||||||
| brain | tumors: | an | merging | therapeutic | |||
| modality2, neutron | capture | therapy | with | p- | |||
| boronopenylalanine or borocaptate sodium", | |||||||
| Radiother Oncol 39:253-259(1994a). | |||||||
| D D D D ) F | 10. Fukuda H., T.Kobayashi, J.Hiratsuka and et.al; "Estimation of Absorbed Dose in the Covering Skin | ||||||
| ( | of Human Melaoma Treated by Boron Capture | ||||||
| Therapy", Pigment cell Research Vol.2, Issue | |||||||
| 4,pp.365-369(1989) | |||||||
| 11. Kiger, JL, W.S. 3 | |||||||
Lithium neutron producting target for BINP accelerator-based neutron source. Appl. Radiat. Isot 2004. 61 p. .
Boron Distribution in Boron Neutron Capture Therapy. International Congress on Neutron Capture Therapy (ICNCT2014), 14-19 June, Finland PaP501. 2014. p. .
High-power lithium target for accelerator-based BNCT. Proc. of LINAC08, (of LINAC08Victoria, BC, Canada, MOP063
Boron microlocalization in oral mucosal tissue. British J. of Cancer 2000b. 82 (11) p. .
Functional and histological changes in rat lung after boron neutron capture therapy. Radiat Res 2008. 171 (1) p. .
The effects of boron neutron capture therapy on liver tumors and normal hepatocytes in mice. Jpn. J. Cancer Res 2000. 91 (10) p. .
Deterministic Parsing Model of the Compound Biological Effectiveness (CBE) Factor for Intracellular 10 Boron Distribution in Boron Neutron Capture Therapy. http://www.scirp.org/jounal/ictdoi J. of Cancer Therapy 2014. (Published Online December 2014 in SciRes)
Fluorine-18-labeled fluoroboronophenylalanine PET in Patients with Glioma. J Nucl Med 1998. 39 (2) p. .
Positron emission tomographybased boron neutron capture therapy using boronophenylalanine for high-grade gliomas: part II. Clin Cancer Res 1998. 4 (8) p. .